Frame | Nreads | Zeropoints | Mag plots
| Spatial mag deviation
| Spatial sky 16325A emission deviations (filled: sky, open: star)
| Spatial sky continuum emission
| Spatial sky telluric CO2 absorption deviations (filled: H < 10)
|
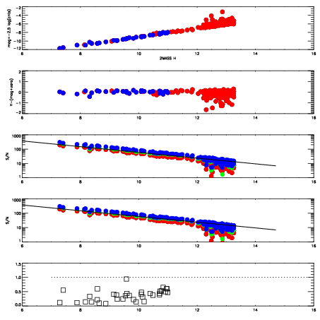
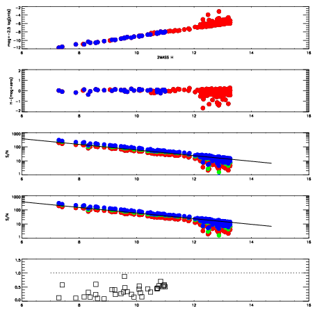
12680011
| 47
| | Red | Green | Blue
| z | | 19.00
| znorm | | 14.82
| sky | 14.6 | 14.5 | 14.2
| S/N | 15.5 | 24.2 | 25.5
| S/N(c) | 31.1 | 58.2 | 25.6
| SN(E/C) | 0.38
|
|
|
|
|
|
|
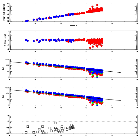
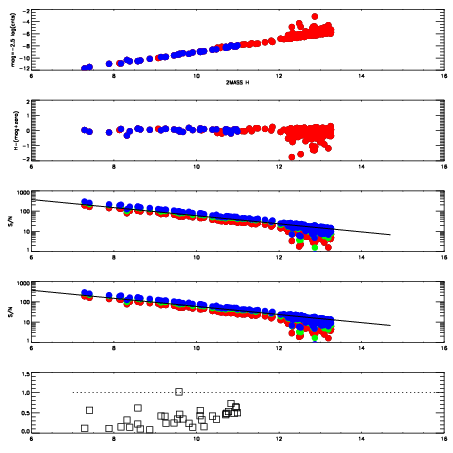
12680012
| 47
| | Red | Green | Blue
| z | | 19.00
| znorm | | 14.82
| sky | 14.5 | 14.6 | 14.7
| S/N | 15.2 | 24.0 | 25.7
| S/N(c) | 31.4 | 58.7 | 26.0
| SN(E/C) | 0.39
|
|
|
|
|
|
|
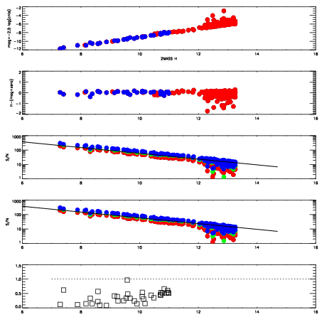
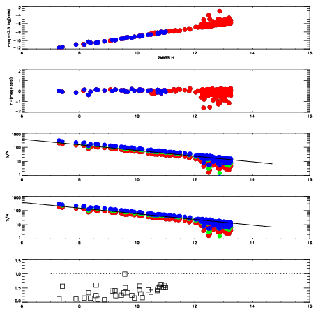
12680013
| 47
| | Red | Green | Blue
| z | | 18.99
| znorm | | 14.81
| sky | 14.5 | 14.5 | 14.6
| S/N | 14.7 | 23.8 | 25.0
| S/N(c) | 30.6 | 58.2 | 26.1
| SN(E/C) | 0.39
|
|
|
|
|
|
|
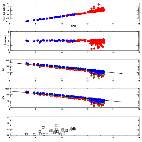
12680014
| 47
| | Red | Green | Blue
| z | | 18.96
| znorm | | 14.78
| sky | 14.5 | 14.6 | 14.5
| S/N | 14.2 | 23.3 | 24.7
| S/N(c) | 30.4 | 57.5 | 26.0
| SN(E/C) | 0.42
|
|
|
|
|
|
|
12680015
| 47
| | Red | Green | Blue
| z | | 19.01
| znorm | | 14.83
| sky | 14.5 | 14.4 | 14.6
| S/N | 14.5 | 24.2 | 24.8
| S/N(c) | 31.2 | 58.7 | 26.7
| SN(E/C) | 0.38
|
|
|
|
|
|
|
12680016
| 47
| | Red | Green | Blue
| z | | 19.00
| znorm | | 14.82
| sky | 14.5 | 14.5 | 14.5
| S/N | 14.5 | 23.9 | 24.8
| S/N(c) | 31.1 | 58.8 | 26.7
| SN(E/C) | 0.40
|
|
|
|
|
|
|
12680017
| 47
| | Red | Green | Blue
| z | | 19.00
| znorm | | 14.82
| sky | 14.6 | 14.5 | 14.6
| S/N | 14.5 | 23.9 | 24.8
| S/N(c) | 30.9 | 58.7 | 26.7
| SN(E/C) | 0.39
|
|
|
|
|
|
|
12680018
| 47
| | Red | Green | Blue
| z | | 18.98
| znorm | | 14.80
| sky | 14.6 | 14.5 | 14.6
| S/N | 14.5 | 23.8 | 24.7
| S/N(c) | 31.2 | 57.2 | 26.5
| SN(E/C) | 0.40
|
|
|
|
|
|
|