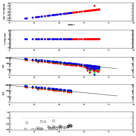
Left plots: red are targets, blue are telluric. Observed mags are calculated from median value of green chip. Zeropoint gives overall throughput: bigger number is more throughput.
First spatial plots: circles are objects, squares are tellurics, crosses are sky fibers. Colors give deviation of observed mag from expected 2MASS mag using the median zeropoint; red is brighter
Second spatial plots: circles are sky fibers. Colors give sky line brightness relative to plate median sky line brightness
FrameNreadsZeropointsMag plots Spatial mag deviation Spatial sky 16325A emission deviations (filled: sky, open: star) Spatial sky continuum emission Spatial sky telluric CO2 absorption deviations (filled: H < 10)
0 0
RedGreenBlue
z17.64
znorm Inf
sky -Inf -Inf -Inf
S/N 25.6 44.2 47.2
S/N(c) 44.4 94.4 41.0
SN(E/C) 0.24

IPAIRNAMESHIFTNEWSHIFTS/N NAMESHIFTNEWSHIFTS/N
0 12680017 0.489510 0.00000 18.9871 12680011 0.00000 0.489510 18.9751
1 12680016 0.489162 0.000348002 18.9874 12680015 -0.00276876 0.492279 18.9884
2 12680012 0.488964 0.000546008 18.9845 12680018 -7.73026e-05 0.489587 18.9651
3 12680013 0.488472 0.00103799 18.9740 12680014 -0.00259266 0.492103 18.9200