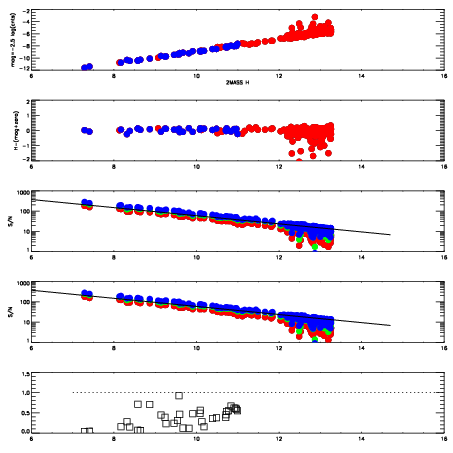
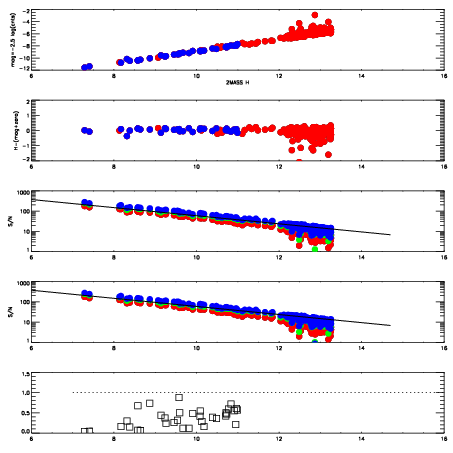
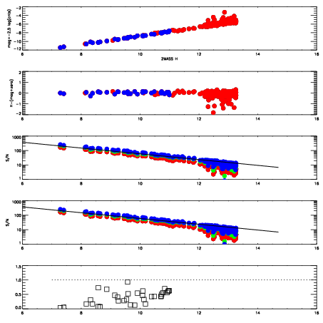
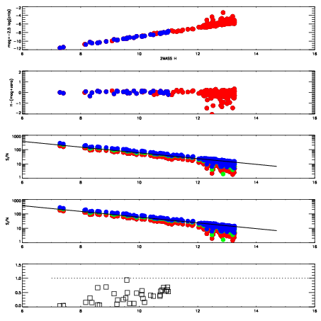
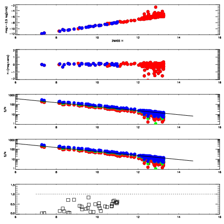
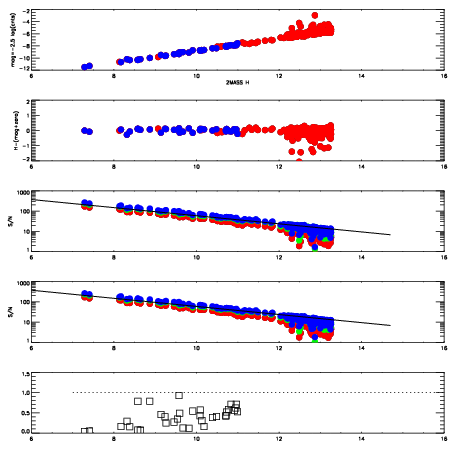
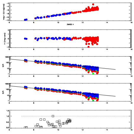
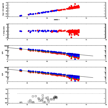
Frame | Nreads | Zeropoints | Mag plots
| Spatial mag deviation
| Spatial sky 16325A emission deviations (filled: sky, open: star)
| Spatial sky continuum emission
| Spatial sky telluric CO2 absorption deviations (filled: H < 10)
|
12720023
| 47
| | Red | Green | Blue
| z | | 18.78
| znorm | | 14.60
| sky | 14.0 | 13.8 | 13.7
| S/N | 12.1 | 19.8 | 21.2
| S/N(c) | 16.8 | 14.6 | 53.9
| SN(E/C) | 0.42
|
|
|
|
|
|
|
12720024
| 47
| | Red | Green | Blue
| z | | 18.87
| znorm | | 14.69
| sky | 14.5 | 14.4 | 14.5
| S/N | 13.0 | 21.6 | 23.2
| S/N(c) | 17.9 | 15.5 | 58.2
| SN(E/C) | 0.39
|
|
|
|
|
|
|
12720025
| 47
| | Red | Green | Blue
| z | | 18.71
| znorm | | 14.53
| sky | 14.4 | 14.4 | 14.5
| S/N | 11.3 | 19.2 | 21.2
| S/N(c) | 16.1 | 14.3 | 54.7
| SN(E/C) | 0.43
|
|
|
|
|
|
|
12720026
| 47
| | Red | Green | Blue
| z | | 18.67
| znorm | | 14.49
| sky | 14.5 | 14.5 | 14.6
| S/N | 10.6 | 18.4 | 20.1
| S/N(c) | 15.2 | 14.0 | 53.4
| SN(E/C) | 0.45
|
|
|
|
|
|
|
12720027
| 47
| | Red | Green | Blue
| z | | 18.76
| znorm | | 14.58
| sky | 14.7 | 14.6 | 14.8
| S/N | 11.6 | 19.4 | 21.6
| S/N(c) | 16.2 | 14.8 | 57.0
| SN(E/C) | 0.41
|
|
|
|
|
|
|
12720028
| 47
| | Red | Green | Blue
| z | | 18.87
| znorm | | 14.69
| sky | 14.8 | 14.7 | 14.8
| S/N | 12.8 | 20.7 | 22.9
| S/N(c) | 17.3 | 15.6 | 60.2
| SN(E/C) | 0.40
|
|
|
|
|
|
|
12720029
| 47
| | Red | Green | Blue
| z | | 18.93
| znorm | | 14.75
| sky | 14.6 | 14.5 | 14.8
| S/N | 13.4 | 21.3 | 23.9
| S/N(c) | 18.0 | 16.1 | 62.4
| SN(E/C) | 0.39
|
|
|
|
|
|
|
12720030
| 47
| | Red | Green | Blue
| z | | 18.84
| znorm | | 14.66
| sky | 14.4 | 14.7 | 14.9
| S/N | 12.3 | 19.9 | 22.3
| S/N(c) | 16.8 | 15.4 | 58.7
| SN(E/C) | 0.39
|
|
|
|
|
|
|