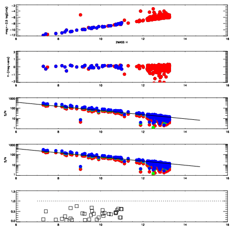
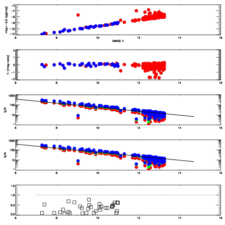
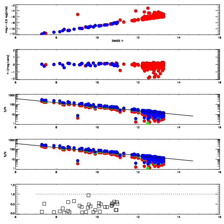
Frame | Nreads | Zeropoints | Mag plots
| Spatial mag deviation
| Spatial sky 16325A emission deviations (filled: sky, open: star)
| Spatial sky continuum emission
| Spatial sky telluric CO2 absorption deviations (filled: H < 10)
|
12660011
| 47
| | Red | Green | Blue
| z | | 19.06
| znorm | | 14.88
| sky | 14.1 | 13.7 | 13.7
| S/N | 18.0 | 27.9 | 29.1
| S/N(c) | 12.9 | 6.0 | 36.5
| SN(E/C) | 0.37
|
|
|
|
|
|
|
12660012
| 47
| | Red | Green | Blue
| z | | 19.05
| znorm | | 14.87
| sky | 14.1 | 13.8 | 14.0
| S/N | 17.5 | 27.4 | 29.6
| S/N(c) | 12.8 | 6.0 | 37.1
| SN(E/C) | 0.35
|
|
|
|
|
|
|
12660013
| 47
| | Red | Green | Blue
| z | | 19.03
| znorm | | 14.85
| sky | 14.2 | 13.8 | 13.9
| S/N | 17.2 | 27.0 | 29.0
| S/N(c) | 12.6 | 5.9 | 37.2
| SN(E/C) | 0.38
|
|
|
|
|
|
|
12660014
| 47
| | Red | Green | Blue
| z | | 18.95
| znorm | | 14.77
| sky | 14.2 | 13.9 | 14.0
| S/N | 16.4 | 25.7 | 27.4
| S/N(c) | 12.1 | 5.7 | 35.6
| SN(E/C) | 0.39
|
|
|
|
|
|
|
12660015
| 47
| | Red | Green | Blue
| z | | 18.98
| znorm | | 14.80
| sky | 14.1 | 13.8 | 14.0
| S/N | 16.4 | 25.8 | 27.5
| S/N(c) | 12.2 | 5.8 | 36.5
| SN(E/C) | 0.37
|
|
|
|
|
|
|
12660016
| 47
| | Red | Green | Blue
| z | | 19.03
| znorm | | 14.85
| sky | 14.1 | 13.9 | 14.0
| S/N | 16.6 | 26.3 | 28.1
| S/N(c) | 12.4 | 5.9 | 37.6
| SN(E/C) | 0.36
|
|
|
|
|
|
|
12660017
| 47
| | Red | Green | Blue
| z | | 19.06
| znorm | | 14.88
| sky | 14.2 | 13.9 | 14.0
| S/N | 16.9 | 26.2 | 27.8
| S/N(c) | 12.5 | 5.9 | 38.3
| SN(E/C) | 0.37
|
|
|
|
|
|
|
12660018
| 47
| | Red | Green | Blue
| z | | 19.08
| znorm | | 14.90
| sky | 14.2 | 13.9 | 14.2
| S/N | 17.4 | 26.6 | 28.7
| S/N(c) | 12.6 | 6.0 | 38.4
| SN(E/C) | 0.36
|
|
|
|
|
|
|