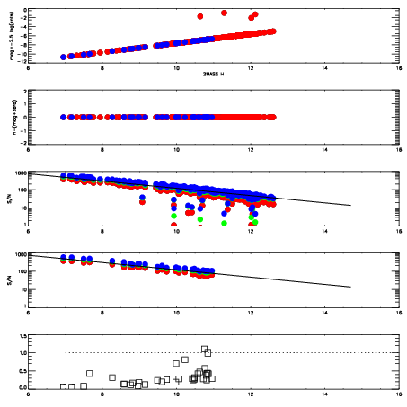
Left plots: red are targets, blue are telluric. Observed mags are calculated from median value of green chip. Zeropoint gives overall throughput: bigger number is more throughput.
First spatial plots: circles are objects, squares are tellurics, crosses are sky fibers. Colors give deviation of observed mag from expected 2MASS mag using the median zeropoint; red is brighter
Second spatial plots: circles are sky fibers. Colors give sky line brightness relative to plate median sky line brightness
FrameNreadsZeropointsMag plots Spatial mag deviation Spatial sky 16325A emission deviations (filled: sky, open: star) Spatial sky continuum emission Spatial sky telluric CO2 absorption deviations (filled: H < 10)
0 0
RedGreenBlue
z17.64
znorm Inf
sky -NaN -NaN -Inf
S/N 24.7 40.7 45.2
S/N(c) 0.0 0.0 0.0
SN(E/C) 0.28

IPAIRNAMESHIFTNEWSHIFTS/N NAMESHIFTNEWSHIFTS/N
0 11380072 0.471271 0.00000 18.9815 11380074 -0.00311724 0.474388 19.0323
1 11380071 0.470494 0.000777006 19.0466 11380073 -0.00311693 0.474388 19.0448
2 11380075 0.469785 0.00148600 18.9948 11380070 0.00000 0.471271 19.0369
3 11380076 0.469776 0.00149500 18.9493 11380077 -0.00133321 0.472604 18.8394