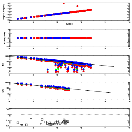
Left plots: red are targets, blue are telluric. Observed mags are calculated from median value of green chip. Zeropoint gives overall throughput: bigger number is more throughput.
First spatial plots: circles are objects, squares are tellurics, crosses are sky fibers. Colors give deviation of observed mag from expected 2MASS mag using the median zeropoint; red is brighter
Second spatial plots: circles are sky fibers. Colors give sky line brightness relative to plate median sky line brightness
FrameNreadsZeropointsMag plots Spatial mag deviation Spatial sky 16325A emission deviations (filled: sky, open: star) Spatial sky continuum emission Spatial sky telluric CO2 absorption deviations (filled: H < 10)
0 0
RedGreenBlue
z17.64
znorm Inf
sky -NaN -NaN -Inf
S/N 22.6 39.3 41.9
S/N(c) 0.0 0.0 0.0
SN(E/C) 0.28

IPAIRNAMESHIFTNEWSHIFTS/N NAMESHIFTNEWSHIFTS/N
0 11400053 0.474834 0.00000 18.8315 11400052 0.00000 0.474834 18.7849
1 11400058 0.474638 0.000196010 18.8371 11400059 0.000448244 0.474386 18.8719
2 11400054 0.474542 0.000292003 18.8012 11400055 -0.00112764 0.475962 18.7376
3 11400057 0.474360 0.000474006 18.7654 11400056 -0.00188283 0.476717 18.7346