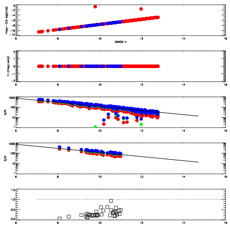
Left plots: red are targets, blue are telluric. Observed mags are calculated from median value of green chip. Zeropoint gives overall throughput: bigger number is more throughput.
First spatial plots: circles are objects, squares are tellurics, crosses are sky fibers. Colors give deviation of observed mag from expected 2MASS mag using the median zeropoint; red is brighter
Second spatial plots: circles are sky fibers. Colors give sky line brightness relative to plate median sky line brightness
FrameNreadsZeropointsMag plots Spatial mag deviation Spatial sky 16325A emission deviations (filled: sky, open: star) Spatial sky continuum emission Spatial sky telluric CO2 absorption deviations (filled: H < 10)
0 0
RedGreenBlue
z17.64
znorm Inf
sky -Inf -Inf -Inf
S/N 25.3 44.3 47.4
S/N(c) 0.0 0.0 0.0
SN(E/C) 0.26

IPAIRNAMESHIFTNEWSHIFTS/N NAMESHIFTNEWSHIFTS/N
0 11440048 0.478714 0.00000 18.9722 11440046 -0.00340395 0.482118 18.9880
1 11440047 0.478040 0.000673980 18.9442 11440049 -0.00359335 0.482307 18.9682
2 11440044 0.476688 0.00202599 18.8704 11440045 -0.00292233 0.481636 18.9527
3 11440043 0.476495 0.00221899 18.8552 11440042 0.00000 0.478714 18.8259