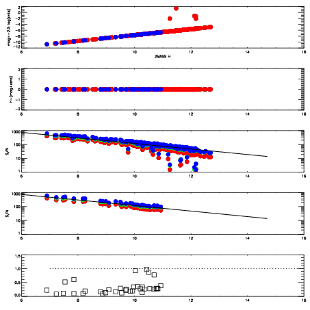
Left plots: red are targets, blue are telluric. Observed mags are calculated from median value of green chip. Zeropoint gives overall throughput: bigger number is more throughput.
First spatial plots: circles are objects, squares are tellurics, crosses are sky fibers. Colors give deviation of observed mag from expected 2MASS mag using the median zeropoint; red is brighter
Second spatial plots: circles are sky fibers. Colors give sky line brightness relative to plate median sky line brightness
FrameNreadsZeropointsMag plots Spatial mag deviation Spatial sky 16325A emission deviations (filled: sky, open: star) Spatial sky continuum emission Spatial sky telluric CO2 absorption deviations (filled: H < 10)
0 0
RedGreenBlue
z17.64
znorm Inf
sky -Inf -Inf -Inf
S/N 23.8 41.8 44.9
S/N(c) 0.0 0.0 0.0
SN(E/C) 0.26

IPAIRNAMESHIFTNEWSHIFTS/N NAMESHIFTNEWSHIFTS/N
0 11670068 0.486625 0.00000 18.7655 11670069 -0.00363835 0.490263 18.8606
1 11670064 0.486519 0.000105977 18.9768 11670065 -0.00412172 0.490747 18.9639
2 11670063 0.485448 0.00117698 18.9714 11670066 -0.00320030 0.489825 18.8929
3 11670067 0.485508 0.00111699 18.8517 11670062 0.00000 0.486625 18.8781