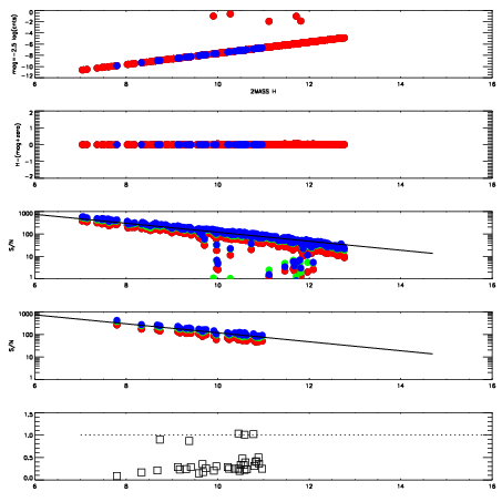
Left plots: red are targets, blue are telluric. Observed mags are calculated from median value of green chip. Zeropoint gives overall throughput: bigger number is more throughput.
First spatial plots: circles are objects, squares are tellurics, crosses are sky fibers. Colors give deviation of observed mag from expected 2MASS mag using the median zeropoint; red is brighter
Second spatial plots: circles are sky fibers. Colors give sky line brightness relative to plate median sky line brightness
FrameNreadsZeropointsMag plots Spatial mag deviation Spatial sky 16325A emission deviations (filled: sky, open: star) Spatial sky continuum emission Spatial sky telluric CO2 absorption deviations (filled: H < 10)
0 0
RedGreenBlue
z17.64
znorm Inf
sky -Inf -Inf -Inf
S/N 22.5 39.4 43.1
S/N(c) 0.0 0.0 0.0
SN(E/C) 0.29

IPAIRNAMESHIFTNEWSHIFTS/N NAMESHIFTNEWSHIFTS/N
0 11390083 0.475508 0.00000 18.6091 11390084 0.000480485 0.475028 18.5244
1 11390079 0.473577 0.00193101 18.8644 11390077 0.00000 0.475508 18.8580
2 11390078 0.472805 0.00270301 18.7960 11390080 -0.00238975 0.477898 18.8180
3 11390082 0.474416 0.00109202 18.7412 11390081 -0.00250670 0.478015 18.7088