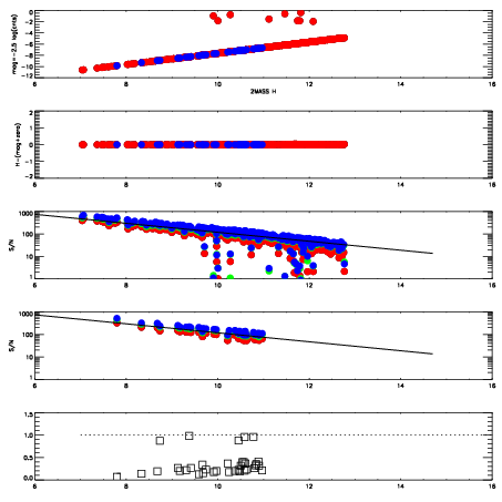
Left plots: red are targets, blue are telluric. Observed mags are calculated from median value of green chip. Zeropoint gives overall throughput: bigger number is more throughput.
First spatial plots: circles are objects, squares are tellurics, crosses are sky fibers. Colors give deviation of observed mag from expected 2MASS mag using the median zeropoint; red is brighter
Second spatial plots: circles are sky fibers. Colors give sky line brightness relative to plate median sky line brightness
FrameNreadsZeropointsMag plots Spatial mag deviation Spatial sky 16325A emission deviations (filled: sky, open: star) Spatial sky continuum emission Spatial sky telluric CO2 absorption deviations (filled: H < 10)
0 0
RedGreenBlue
z17.64
znorm Inf
sky -NaN -NaN -Inf
S/N 27.3 47.9 51.6
S/N(c) 0.0 0.0 0.0
SN(E/C) 0.26

IPAIRNAMESHIFTNEWSHIFTS/N NAMESHIFTNEWSHIFTS/N
0 11650055 0.493785 0.00000 19.0018 11650058 -0.00209025 0.495875 19.0025
1 11650056 0.493479 0.000305980 19.0384 11650057 -0.00186157 0.495647 19.0339
2 11650059 0.491671 0.00211400 19.0079 11650061 -0.00304040 0.496825 19.0077
3 11650060 0.492320 0.00146499 18.9941 11650054 0.00000 0.493785 18.9475