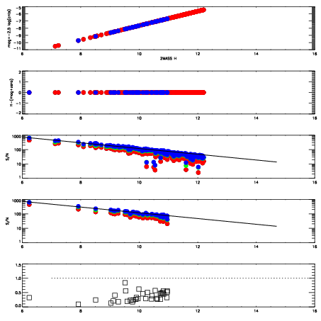
Left plots: red are targets, blue are telluric. Observed mags are calculated from median value of green chip. Zeropoint gives overall throughput: bigger number is more throughput.
First spatial plots: circles are objects, squares are tellurics, crosses are sky fibers. Colors give deviation of observed mag from expected 2MASS mag using the median zeropoint; red is brighter
Second spatial plots: circles are sky fibers. Colors give sky line brightness relative to plate median sky line brightness
FrameNreadsZeropointsMag plots Spatial mag deviation Spatial sky 16325A emission deviations (filled: sky, open: star) Spatial sky continuum emission Spatial sky telluric CO2 absorption deviations (filled: H < 10)
0 0
RedGreenBlue
z17.64
znorm Inf
sky -Inf -Inf -Inf
S/N 17.5 29.8 33.6
S/N(c) 0.0 0.0 0.0
SN(E/C) 0.32

IPAIRNAMESHIFTNEWSHIFTS/N NAMESHIFTNEWSHIFTS/N
0 11390061 0.473249 0.00000 18.0767 11390062 -0.00127714 0.474526 18.4099
1 11390056 0.471572 0.00167698 18.5453 11390055 0.00000 0.473249 18.5780
2 11390057 0.472123 0.00112599 18.4482 11390059 0.000594866 0.472654 18.5131
3 11390060 0.472433 0.000815988 18.4238 11390058 -0.000461387 0.473710 18.5018