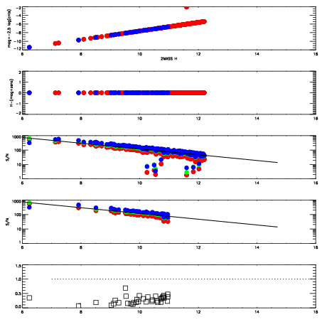
Left plots: red are targets, blue are telluric. Observed mags are calculated from median value of green chip. Zeropoint gives overall throughput: bigger number is more throughput.
First spatial plots: circles are objects, squares are tellurics, crosses are sky fibers. Colors give deviation of observed mag from expected 2MASS mag using the median zeropoint; red is brighter
Second spatial plots: circles are sky fibers. Colors give sky line brightness relative to plate median sky line brightness
FrameNreadsZeropointsMag plots Spatial mag deviation Spatial sky 16325A emission deviations (filled: sky, open: star) Spatial sky continuum emission Spatial sky telluric CO2 absorption deviations (filled: H < 10)
0 0
RedGreenBlue
z17.64
znorm Inf
sky -Inf -NaN -Inf
S/N 25.9 41.5 47.0
S/N(c) 0.0 0.0 0.0
SN(E/C) 0.26

IPAIRNAMESHIFTNEWSHIFTS/N NAMESHIFTNEWSHIFTS/N
0 11950023 0.503618 0.00000 18.8225 11950024 -0.000122087 0.503740 18.8923
1 11950027 0.503082 0.000536025 19.1406 11950028 0.000743266 0.502875 19.1075
2 11950026 0.502563 0.00105500 19.0600 11950021 0.00000 0.503618 19.1020
3 11950022 0.502840 0.000778019 19.0529 11950025 -0.000209255 0.503827 19.0173