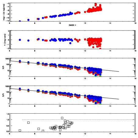
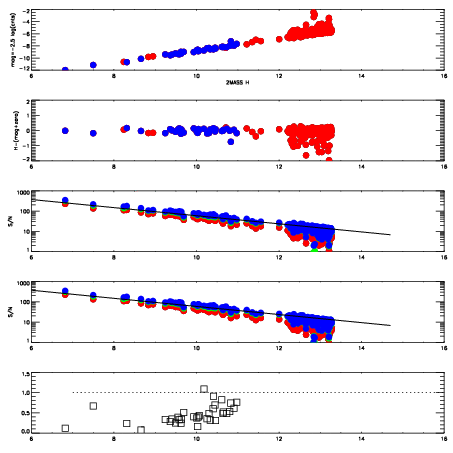
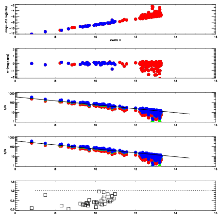
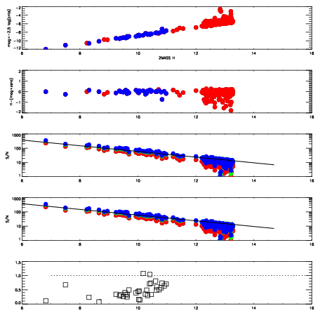
Frame | Nreads | Zeropoints | Mag plots
| Spatial mag deviation
| Spatial sky 16325A emission deviations (filled: sky, open: star)
| Spatial sky continuum emission
| Spatial sky telluric CO2 absorption deviations (filled: H < 10)
|
12090049
| 47
| | Red | Green | Blue
| z | | 18.79
| znorm | | 14.61
| sky | 15.2 | 14.9 | 14.7
| S/N | 12.9 | 21.1 | 21.9
| S/N(c) | 11.9 | 15.2 | 10.1
| SN(E/C) | 0.44
|
|
|
|
|
|
|
12090050
| 47
| | Red | Green | Blue
| z | | 18.86
| znorm | | 14.68
| sky | 15.1 | 15.4 | 15.1
| S/N | 13.6 | 21.8 | 23.1
| S/N(c) | 12.0 | 15.9 | 10.6
| SN(E/C) | 0.41
|
|
|
|
|
|
|
12090051
| 47
| | Red | Green | Blue
| z | | 18.81
| znorm | | 14.63
| sky | 15.5 | 15.2 | 15.1
| S/N | 13.1 | 21.1 | 22.3
| S/N(c) | 11.7 | 15.5 | 10.4
| SN(E/C) | 0.39
|
|
|
|
|
|
|
12090052
| 47
| | Red | Green | Blue
| z | | 18.82
| znorm | | 14.64
| sky | 14.8 | 15.2 | 15.3
| S/N | 13.2 | 21.4 | 22.7
| S/N(c) | 11.5 | 15.8 | 10.6
| SN(E/C) | 0.40
|
|
|
|
|
|
|
12090053
| 47
| | Red | Green | Blue
| z | | 18.82
| znorm | | 14.64
| sky | 15.1 | 15.4 | 15.4
| S/N | 13.4 | 21.4 | 22.6
| S/N(c) | 11.7 | 15.9 | 10.8
| SN(E/C) | 0.40
|
|
|
|
|
|
|
12090054
| 47
| | Red | Green | Blue
| z | | 18.85
| znorm | | 14.67
| sky | 14.8 | 15.2 | 15.3
| S/N | 13.6 | 22.1 | 23.1
| S/N(c) | 11.6 | 16.1 | 10.7
| SN(E/C) | 0.39
|
|
|
|
|
|
|
12090055
| 47
| | Red | Green | Blue
| z | | 18.91
| znorm | | 14.73
| sky | 15.2 | 15.4 | 15.3
| S/N | 14.4 | 22.5 | 24.0
| S/N(c) | 12.0 | 16.6 | 11.1
| SN(E/C) | 0.40
|
|
|
|
|
|
|
12090056
| 47
| | Red | Green | Blue
| z | | 18.92
| znorm | | 14.74
| sky | 15.2 | 15.2 | 15.4
| S/N | 14.0 | 22.7 | 24.1
| S/N(c) | 11.9 | 16.5 | 11.0
| SN(E/C) | 0.38
|
|
|
|
|
|
|