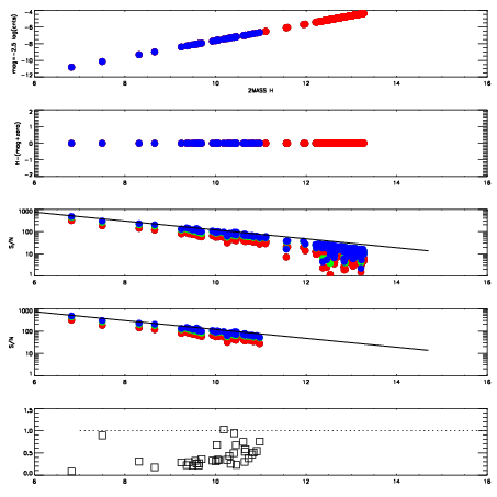
Left plots: red are targets, blue are telluric. Observed mags are calculated from median value of green chip. Zeropoint gives overall throughput: bigger number is more throughput.
First spatial plots: circles are objects, squares are tellurics, crosses are sky fibers. Colors give deviation of observed mag from expected 2MASS mag using the median zeropoint; red is brighter
Second spatial plots: circles are sky fibers. Colors give sky line brightness relative to plate median sky line brightness
FrameNreadsZeropointsMag plots Spatial mag deviation Spatial sky 16325A emission deviations (filled: sky, open: star) Spatial sky continuum emission Spatial sky telluric CO2 absorption deviations (filled: H < 10)
0 0
RedGreenBlue
z17.64
znorm Inf
sky -Inf -Inf -Inf
S/N 17.3 32.0 33.7
S/N(c) 13.4 23.5 25.0
SN(E/C) 0.34

IPAIRNAMESHIFTNEWSHIFTS/N NAMESHIFTNEWSHIFTS/N
0 12280028 0.499512 0.00000 17.4495 12280029 0.00427007 0.495242 17.1664
1 12280023 0.498752 0.000759989 18.4685 12280022 0.00000 0.499512 18.4608
2 12280024 0.498982 0.000529975 18.2189 12280025 0.00127336 0.498239 18.4058
3 12280027 0.498416 0.00109598 17.7345 12280026 0.000503524 0.499008 18.2506