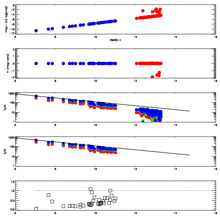
Left plots: red are targets, blue are telluric. Observed mags are calculated from median value of green chip. Zeropoint gives overall throughput: bigger number is more throughput.
First spatial plots: circles are objects, squares are tellurics, crosses are sky fibers. Colors give deviation of observed mag from expected 2MASS mag using the median zeropoint; red is brighter
Second spatial plots: circles are sky fibers. Colors give sky line brightness relative to plate median sky line brightness
FrameNreadsZeropointsMag plots Spatial mag deviation Spatial sky 16325A emission deviations (filled: sky, open: star) Spatial sky continuum emission Spatial sky telluric CO2 absorption deviations (filled: H < 10)
0 0
RedGreenBlue
z17.65
znorm Inf
sky -Inf -Inf -Inf
S/N 15.3 25.9 29.6
S/N(c) 14.3 0.2 28.3
SN(E/C) 0.37

IPAIRNAMESHIFTNEWSHIFTS/N NAMESHIFTNEWSHIFTS/N
0 11970050 0.502353 0.00000 17.2879 11970051 -0.00182392 0.504177 17.2602
1 11970049 0.502119 0.000234008 18.2740 11970048 -0.00282006 0.505173 18.2603
2 11970046 0.501776 0.000577033 18.0736 11970047 -0.00214832 0.504501 18.2101
3 11970045 0.501950 0.000402987 17.8668 11970044 0.00000 0.502353 17.6270