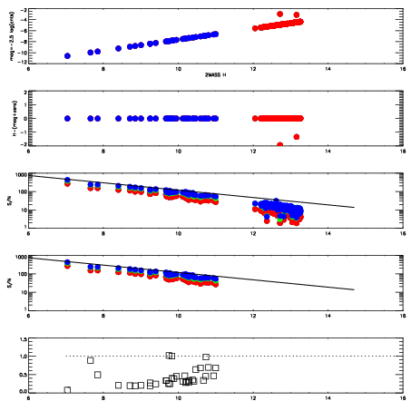
Left plots: red are targets, blue are telluric. Observed mags are calculated from median value of green chip. Zeropoint gives overall throughput: bigger number is more throughput.
First spatial plots: circles are objects, squares are tellurics, crosses are sky fibers. Colors give deviation of observed mag from expected 2MASS mag using the median zeropoint; red is brighter
Second spatial plots: circles are sky fibers. Colors give sky line brightness relative to plate median sky line brightness
FrameNreadsZeropointsMag plots Spatial mag deviation Spatial sky 16325A emission deviations (filled: sky, open: star) Spatial sky continuum emission Spatial sky telluric CO2 absorption deviations (filled: H < 10)
0 0
RedGreenBlue
z17.64
znorm Inf
sky -Inf -Inf -Inf
S/N 18.0 30.8 33.6
S/N(c) 17.0 0.2 29.4
SN(E/C) 0.33

IPAIRNAMESHIFTNEWSHIFTS/N NAMESHIFTNEWSHIFTS/N
0 12030032 0.502932 0.00000 17.9048 12030033 0.000656869 0.502275 17.7001
1 12030027 0.502417 0.000514984 18.1169 12030026 0.00000 0.502932 18.1098
2 12030031 0.502530 0.000402033 18.0170 12030030 -0.000163872 0.503096 17.8037
3 12030028 0.502645 0.000286996 17.8121 12030029 -0.000307037 0.503239 17.6515