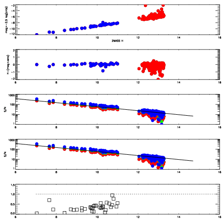
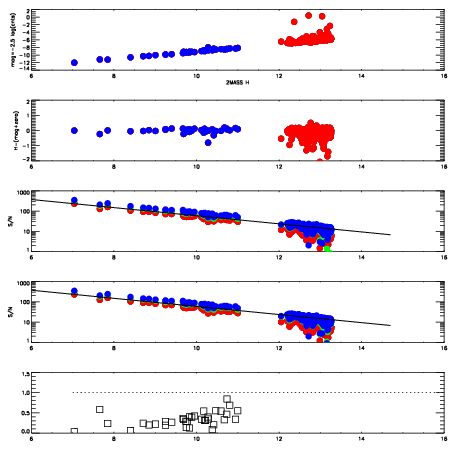
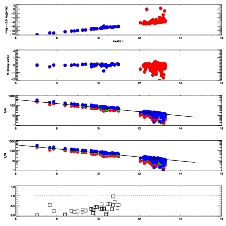
Frame | Nreads | Zeropoints | Mag plots
| Spatial mag deviation
| Spatial sky 16325A emission deviations (filled: sky, open: star)
| Spatial sky continuum emission
| Spatial sky telluric CO2 absorption deviations (filled: H < 10)
|
12320011
| 47
| | Red | Green | Blue
| z | | 18.99
| znorm | | 14.81
| sky | 14.3 | 14.2 | 14.1
| S/N | 20.1 | 30.4 | 33.0
| S/N(c) | 22.6 | 0.2 | 33.7
| SN(E/C) | 0.32
|
|
|
|
|
|
|
12320012
| 47
| | Red | Green | Blue
| z | | 19.03
| znorm | | 14.85
| sky | 14.6 | 14.5 | 14.4
| S/N | 20.3 | 30.8 | 33.8
| S/N(c) | 22.7 | 0.2 | 34.2
| SN(E/C) | 0.33
|
|
|
|
|
|
|
12320013
| 47
| | Red | Green | Blue
| z | | 19.03
| znorm | | 14.85
| sky | 14.7 | 14.4 | 14.5
| S/N | 20.2 | 30.7 | 33.8
| S/N(c) | 22.4 | 0.2 | 34.3
| SN(E/C) | 0.33
|
|
|
|
|
|
|
12320014
| 47
| | Red | Green | Blue
| z | | 19.04
| znorm | | 14.86
| sky | 14.9 | 14.6 | 14.6
| S/N | 20.0 | 30.5 | 33.5
| S/N(c) | 22.4 | 0.2 | 34.5
| SN(E/C) | 0.32
|
|
|
|
|
|
|
12320015
| 47
| | Red | Green | Blue
| z | | 19.06
| znorm | | 14.88
| sky | 14.4 | 14.5 | 14.5
| S/N | 19.9 | 30.4 | 33.5
| S/N(c) | 22.4 | 0.3 | 34.9
| SN(E/C) | 0.33
|
|
|
|
|
|
|
12320016
| 47
| | Red | Green | Blue
| z | | 18.93
| znorm | | 14.75
| sky | 14.5 | 14.6 | 14.5
| S/N | 18.6 | 28.6 | 31.5
| S/N(c) | 20.9 | 0.2 | 32.7
| SN(E/C) | 0.35
|
|
|
|
|
|
|
12320017
| 47
| | Red | Green | Blue
| z | | 18.96
| znorm | | 14.78
| sky | 14.6 | 14.6 | 14.5
| S/N | 18.6 | 28.8 | 31.7
| S/N(c) | 21.3 | 0.2 | 33.2
| SN(E/C) | 0.33
|
|
|
|
|
|
|
12320018
| 47
| | Red | Green | Blue
| z | | 18.97
| znorm | | 14.79
| sky | 14.6 | 14.5 | 14.6
| S/N | 19.1 | 29.3 | 32.4
| S/N(c) | 21.4 | 0.2 | 33.4
| SN(E/C) | 0.33
|
|
|
|
|
|
|