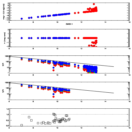
Left plots: red are targets, blue are telluric. Observed mags are calculated from median value of green chip. Zeropoint gives overall throughput: bigger number is more throughput.
First spatial plots: circles are objects, squares are tellurics, crosses are sky fibers. Colors give deviation of observed mag from expected 2MASS mag using the median zeropoint; red is brighter
Second spatial plots: circles are sky fibers. Colors give sky line brightness relative to plate median sky line brightness
FrameNreadsZeropointsMag plots Spatial mag deviation Spatial sky 16325A emission deviations (filled: sky, open: star) Spatial sky continuum emission Spatial sky telluric CO2 absorption deviations (filled: H < 10)
0 0
RedGreenBlue
z17.64
znorm Inf
sky -Inf -NaN -Inf
S/N 7.2 15.9 15.6
S/N(c) 11.9 19.1 0.2
SN(E/C) 0.49

IPAIRNAMESHIFTNEWSHIFTS/N NAMESHIFTNEWSHIFTS/N
0 12260016 0.492822 0.00000 17.3256 12260011 0.00000 0.492822 17.3281
1 12260013 0.492660 0.000162005 17.3299 12260014 0.000206850 0.492615 17.3496
2 12260012 0.492162 0.000660002 17.2938 12260015 0.000667835 0.492154 17.3039
3 12260017 0.492765 5.69820e-05 17.2899 12260018 0.00201976 0.490802 17.2816