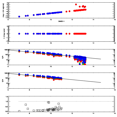
Left plots: red are targets, blue are telluric. Observed mags are calculated from median value of green chip. Zeropoint gives overall throughput: bigger number is more throughput.
First spatial plots: circles are objects, squares are tellurics, crosses are sky fibers. Colors give deviation of observed mag from expected 2MASS mag using the median zeropoint; red is brighter
Second spatial plots: circles are sky fibers. Colors give sky line brightness relative to plate median sky line brightness
FrameNreadsZeropointsMag plots Spatial mag deviation Spatial sky 16325A emission deviations (filled: sky, open: star) Spatial sky continuum emission Spatial sky telluric CO2 absorption deviations (filled: H < 10)
0 0
RedGreenBlue
z17.64
znorm Inf
sky -NaN -Inf -Inf
S/N 29.4 49.7 53.0
S/N(c) 31.4 45.0 0.4
SN(E/C) 0.21

IPAIRNAMESHIFTNEWSHIFTS/N NAMESHIFTNEWSHIFTS/N
0 12550017 0.485347 0.00000 19.0106 12550018 -0.00433558 0.489683 18.9684
1 12550016 0.484557 0.000790000 19.0060 12550015 -0.00329401 0.488641 18.9665
2 12550013 0.484524 0.000822991 18.9500 12550014 -0.00346600 0.488813 18.9427
3 12550012 0.484001 0.00134599 18.9494 12550011 0.00000 0.485347 18.9258