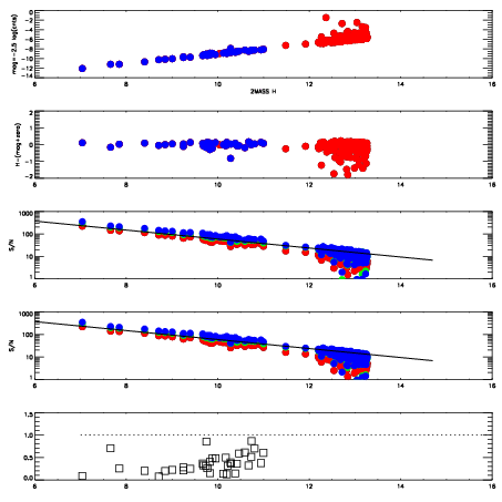
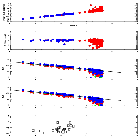
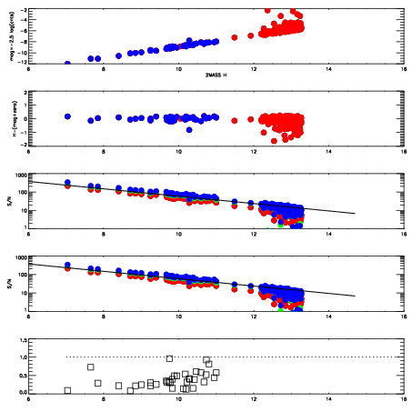
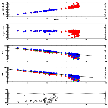
Frame | Nreads | Zeropoints | Mag plots
| Spatial mag deviation
| Spatial sky 16325A emission deviations (filled: sky, open: star)
| Spatial sky continuum emission
| Spatial sky telluric CO2 absorption deviations (filled: H < 10)
|
12250022
| 47
| | Red | Green | Blue
| z | | 18.92
| znorm | | 14.74
| sky | 14.6 | 14.3 | 14.4
| S/N | 13.7 | 22.4 | 23.6
| S/N(c) | 0.1 | 29.2 | 6.2
| SN(E/C) | 0.34
|
|
|
|
|
|
|
12250023
| 47
| | Red | Green | Blue
| z | | 18.90
| znorm | | 14.72
| sky | 14.7 | 14.5 | 14.7
| S/N | 13.2 | 21.6 | 23.2
| S/N(c) | 0.1 | 29.2 | 6.1
| SN(E/C) | 0.35
|
|
|
|
|
|
|
12250024
| 47
| | Red | Green | Blue
| z | | 18.98
| znorm | | 14.80
| sky | 14.5 | 14.4 | 14.6
| S/N | 13.8 | 22.6 | 24.1
| S/N(c) | 0.2 | 29.9 | 6.5
| SN(E/C) | 0.34
|
|
|
|
|
|
|
12250025
| 47
| | Red | Green | Blue
| z | | 18.87
| znorm | | 14.69
| sky | 14.7 | 14.6 | 14.6
| S/N | 12.8 | 21.2 | 22.6
| S/N(c) | 0.1 | 29.1 | 6.2
| SN(E/C) | 0.33
|
|
|
|
|
|
|
12250026
| 47
| | Red | Green | Blue
| z | | 18.83
| znorm | | 14.65
| sky | 14.4 | 14.5 | 14.7
| S/N | 12.3 | 20.7 | 21.6
| S/N(c) | 0.1 | 28.0 | 6.0
| SN(E/C) | 0.35
|
|
|
|
|
|
|
12250027
| 47
| | Red | Green | Blue
| z | | 19.00
| znorm | | 14.82
| sky | 14.7 | 14.6 | 14.5
| S/N | 13.4 | 22.1 | 23.1
| S/N(c) | 0.2 | 30.2 | 6.5
| SN(E/C) | 0.32
|
|
|
|
|
|
|
12250028
| 47
| | Red | Green | Blue
| z | | 18.94
| znorm | | 14.76
| sky | 14.5 | 14.5 | 14.7
| S/N | 13.2 | 21.4 | 22.8
| S/N(c) | 0.2 | 29.8 | 6.3
| SN(E/C) | 0.33
|
|
|
|
|
|
|
12250029
| 47
| | Red | Green | Blue
| z | | 18.80
| znorm | | 14.62
| sky | 14.6 | 14.6 | 14.6
| S/N | 11.8 | 20.0 | 20.8
| S/N(c) | 0.1 | 27.9 | 6.0
| SN(E/C) | 0.36
|
|
|
|
|
|
|