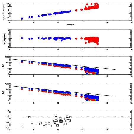
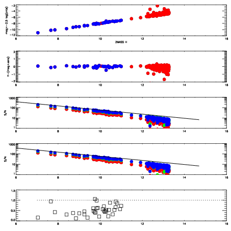
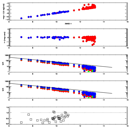
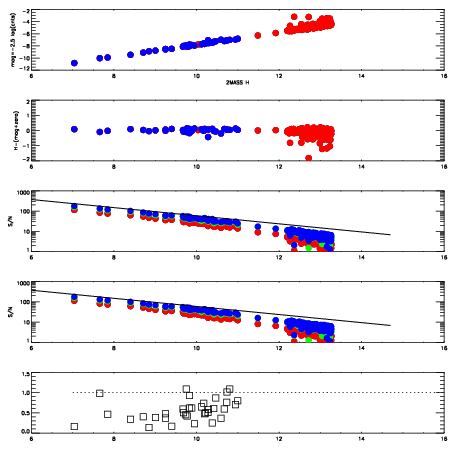
Frame | Nreads | Zeropoints | Mag plots
| Spatial mag deviation
| Spatial sky 16325A emission deviations (filled: sky, open: star)
| Spatial sky continuum emission
| Spatial sky telluric CO2 absorption deviations (filled: H < 10)
|
12290011
| 47
| | Red | Green | Blue
| z | | 17.99
| znorm | | 13.81
| sky | 14.7 | 14.4 | 14.1
| S/N | 8.0 | 14.4 | 13.9
| S/N(c) | 11.7 | 0.1 | 0.2
| SN(E/C) | 0.48
|
|
|
|
|
|
|
12290012
| 47
| | Red | Green | Blue
| z | | 17.56
| znorm | | 13.38
| sky | 14.3 | 14.2 | 14.2
| S/N | 5.6 | 10.4 | 10.2
| S/N(c) | 9.0 | 0.1 | 0.1
| SN(E/C) | 0.59
|
|
|
|
|
|
|
12290013
| 47
| | Red | Green | Blue
| z | | 18.07
| znorm | | 13.89
| sky | 14.9 | 14.5 | 14.5
| S/N | 8.6 | 14.9 | 14.9
| S/N(c) | 12.2 | 0.1 | 0.2
| SN(E/C) | 0.48
|
|
|
|
|
|
|
12290014
| 47
| | Red | Green | Blue
| z | | 17.70
| znorm | | 13.52
| sky | 14.1 | 14.0 | 14.0
| S/N | 6.0 | 11.0 | 11.1
| S/N(c) | 9.7 | 0.1 | 0.1
| SN(E/C) | 0.59
|
|
|
|
|
|
|
12290015
| 47
| | Red | Green | Blue
| z | | 17.92
| znorm | | 13.74
| sky | 14.8 | 14.7 | 14.7
| S/N | 7.3 | 13.3 | 13.1
| S/N(c) | 11.2 | 0.1 | 0.1
| SN(E/C) | 0.49
|
|
|
|
|
|
|
12290016
| 47
| | Red | Green | Blue
| z | | 17.72
| znorm | | 13.54
| sky | 14.8 | 14.7 | 14.7
| S/N | 6.0 | 11.4 | 11.3
| S/N(c) | 9.8 | 0.1 | 0.1
| SN(E/C) | 0.53
|
|
|
|
|
|
|
12290017
| 47
| | Red | Green | Blue
| z | | 17.77
| znorm | | 13.59
| sky | 14.9 | 14.8 | 14.8
| S/N | 6.6 | 12.1 | 11.8
| S/N(c) | 10.4 | 0.1 | 0.1
| SN(E/C) | 0.51
|
|
|
|
|
|
|
12290018
| 47
| | Red | Green | Blue
| z | | 17.88
| znorm | | 13.70
| sky | 14.9 | 14.8 | 14.8
| S/N | 6.9 | 12.8 | 12.6
| S/N(c) | 11.0 | 0.1 | 0.1
| SN(E/C) | 0.53
|
|
|
|
|
|
|