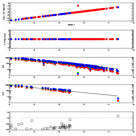
Left plots: red are targets, blue are telluric. Observed mags are calculated from median value of green chip. Zeropoint gives overall throughput: bigger number is more throughput.
First spatial plots: circles are objects, squares are tellurics, crosses are sky fibers. Colors give deviation of observed mag from expected 2MASS mag using the median zeropoint; red is brighter
Second spatial plots: circles are sky fibers. Colors give sky line brightness relative to plate median sky line brightness
FrameNreadsZeropointsMag plots Spatial mag deviation Spatial sky 16325A emission deviations (filled: sky, open: star) Spatial sky continuum emission Spatial sky telluric CO2 absorption deviations (filled: H < 10)
0 0
RedGreenBlue
z17.64
znorm Inf
sky -Inf -Inf -NaN
S/N 25.6 44.1 45.9
S/N(c) 0.0 0.0 0.0
SN(E/C) 0.23

IPAIRNAMESHIFTNEWSHIFTS/N NAMESHIFTNEWSHIFTS/N
0 11940032 0.500388 0.00000 19.0890 11940033 -0.00105520 0.501443 19.0692
1 11940028 0.499895 0.000493020 19.0707 11940030 -0.00172265 0.502111 19.0597
2 11940027 0.499554 0.000834018 19.0436 11940029 -0.00187196 0.502260 19.0559
3 11940031 0.500091 0.000297010 19.0209 11940026 0.00000 0.500388 19.0217