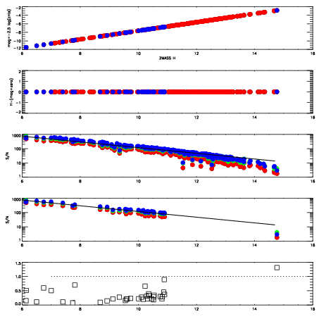
Left plots: red are targets, blue are telluric. Observed mags are calculated from median value of green chip. Zeropoint gives overall throughput: bigger number is more throughput.
First spatial plots: circles are objects, squares are tellurics, crosses are sky fibers. Colors give deviation of observed mag from expected 2MASS mag using the median zeropoint; red is brighter
Second spatial plots: circles are sky fibers. Colors give sky line brightness relative to plate median sky line brightness
FrameNreadsZeropointsMag plots Spatial mag deviation Spatial sky 16325A emission deviations (filled: sky, open: star) Spatial sky continuum emission Spatial sky telluric CO2 absorption deviations (filled: H < 10)
0 0
RedGreenBlue
z17.64
znorm Inf
sky -NaN -NaN -Inf
S/N 21.2 37.9 40.4
S/N(c) 0.0 0.0 0.0
SN(E/C) 0.27

IPAIRNAMESHIFTNEWSHIFTS/N NAMESHIFTNEWSHIFTS/N
0 11990013 0.505023 0.00000 18.7756 11990015 -0.00234275 0.507366 18.8109
1 11990017 0.503015 0.00200802 18.8482 11990018 -0.00102812 0.506051 18.9050
2 11990016 0.502918 0.00210500 18.8290 11990014 -0.00219575 0.507219 18.8271
3 11990012 0.504707 0.000316024 18.7714 11990011 0.00000 0.505023 18.7179