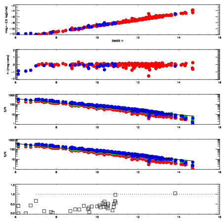
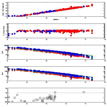
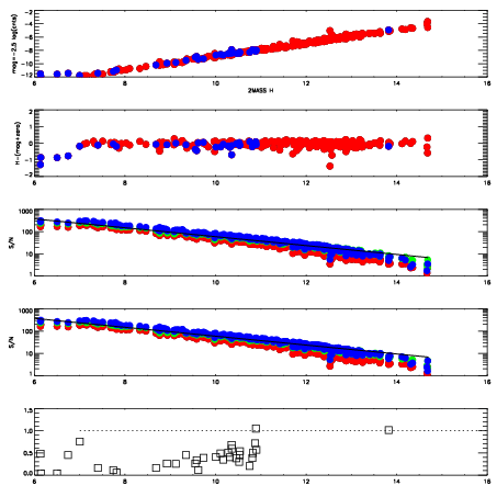
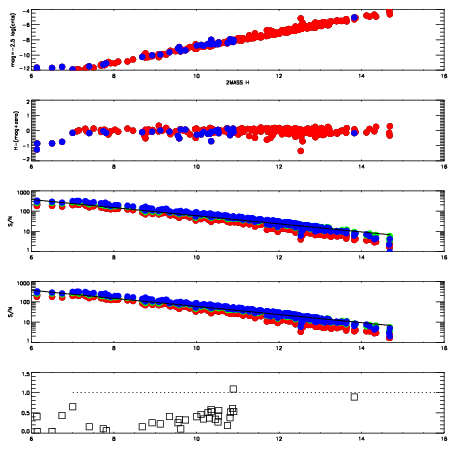
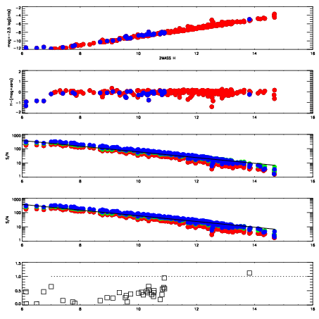
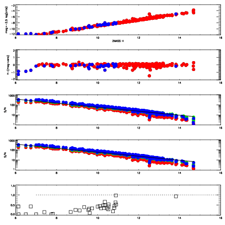
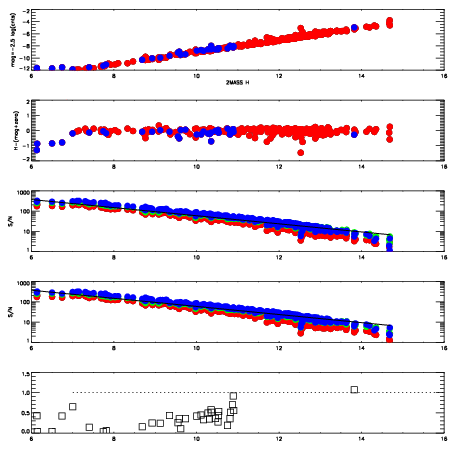
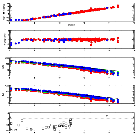
Frame | Nreads | Zeropoints | Mag plots
| Spatial mag deviation
| Spatial sky 16325A emission deviations (filled: sky, open: star)
| Spatial sky continuum emission
| Spatial sky telluric CO2 absorption deviations (filled: H < 10)
|
12620011
| 47
| | Red | Green | Blue
| z | | 19.05
| znorm | | 14.87
| sky | 14.3 | 14.1 | 13.9
| S/N | 15.3 | 25.3 | 26.4
| S/N(c) | 31.6 | 38.5 | 31.7
| SN(E/C) | 0.38
|
|
|
|
|
|
|
12620012
| 47
| | Red | Green | Blue
| z | | 19.07
| znorm | | 14.89
| sky | 14.6 | 14.5 | 14.3
| S/N | 15.0 | 25.3 | 26.3
| S/N(c) | 31.4 | 38.1 | 32.0
| SN(E/C) | 0.35
|
|
|
|
|
|
|
12620013
| 47
| | Red | Green | Blue
| z | | 19.07
| znorm | | 14.89
| sky | 14.6 | 14.4 | 14.2
| S/N | 15.4 | 25.3 | 26.7
| S/N(c) | 31.0 | 37.8 | 31.9
| SN(E/C) | 0.38
|
|
|
|
|
|
|
12620014
| 47
| | Red | Green | Blue
| z | | 19.05
| znorm | | 14.87
| sky | 14.5 | 14.5 | 14.3
| S/N | 14.8 | 25.2 | 26.4
| S/N(c) | 30.7 | 37.5 | 31.5
| SN(E/C) | 0.36
|
|
|
|
|
|
|
12620015
| 47
| | Red | Green | Blue
| z | | 19.03
| znorm | | 14.85
| sky | 14.6 | 14.5 | 14.3
| S/N | 15.0 | 25.1 | 25.9
| S/N(c) | 30.1 | 36.8 | 30.7
| SN(E/C) | 0.41
|
|
|
|
|
|
|
12620016
| 47
| | Red | Green | Blue
| z | | 18.94
| znorm | | 14.76
| sky | 14.7 | 14.5 | 14.2
| S/N | 13.9 | 23.8 | 24.6
| S/N(c) | 28.3 | 35.0 | 29.6
| SN(E/C) | 0.40
|
|
|
|
|
|
|
12620017
| 47
| | Red | Green | Blue
| z | | 18.93
| znorm | | 14.75
| sky | 14.7 | 14.4 | 14.2
| S/N | 14.1 | 23.6 | 24.1
| S/N(c) | 27.8 | 34.4 | 29.2
| SN(E/C) | 0.40
|
|
|
|
|
|
|
12620018
| 47
| | Red | Green | Blue
| z | | 18.69
| znorm | | 14.51
| sky | 14.5 | 14.6 | 14.4
| S/N | 11.9 | 21.2 | 21.5
| S/N(c) | 24.5 | 30.8 | 25.7
| SN(E/C) | 0.43
|
|
|
|
|
|
|