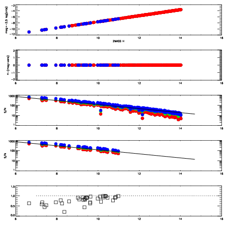
Left plots: red are targets, blue are telluric. Observed mags are calculated from median value of green chip. Zeropoint gives overall throughput: bigger number is more throughput.
First spatial plots: circles are objects, squares are tellurics, crosses are sky fibers. Colors give deviation of observed mag from expected 2MASS mag using the median zeropoint; red is brighter
Second spatial plots: circles are sky fibers. Colors give sky line brightness relative to plate median sky line brightness
FrameNreadsZeropointsMag plots Spatial mag deviation Spatial sky 16325A emission deviations (filled: sky, open: star) Spatial sky continuum emission Spatial sky telluric CO2 absorption deviations (filled: H < 10)
0 0
RedGreenBlue
z17.64
znorm Inf
sky -NaN -Inf -Inf
S/N 26.3 41.7 48.8
S/N(c) 0.0 0.0 0.0
SN(E/C) 0.82

IPAIRNAMESHIFTNEWSHIFTS/N NAMESHIFTNEWSHIFTS/N
0 11950075 0.500037 0.00000 19.1399 11950073 -0.00295240 0.502989 19.1010
1 11950074 0.499738 0.000299007 19.1432 11950076 -0.00332341 0.503360 19.1193
2 11950071 0.499782 0.000255018 19.0283 11950072 -0.00314807 0.503185 19.0756
3 11950070 0.500021 1.60336e-05 19.0033 11950069 0.00000 0.500037 18.9564