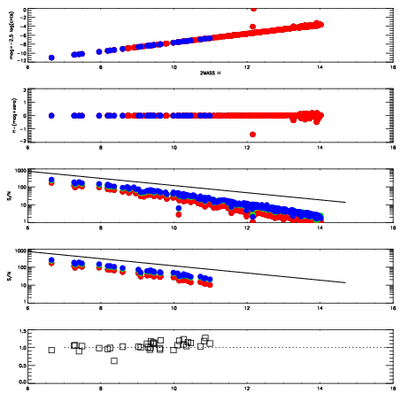
Left plots: red are targets, blue are telluric. Observed mags are calculated from median value of green chip. Zeropoint gives overall throughput: bigger number is more throughput.
First spatial plots: circles are objects, squares are tellurics, crosses are sky fibers. Colors give deviation of observed mag from expected 2MASS mag using the median zeropoint; red is brighter
Second spatial plots: circles are sky fibers. Colors give sky line brightness relative to plate median sky line brightness
FrameNreadsZeropointsMag plots Spatial mag deviation Spatial sky 16325A emission deviations (filled: sky, open: star) Spatial sky continuum emission Spatial sky telluric CO2 absorption deviations (filled: H < 10)
0 0
RedGreenBlue
z17.65
znorm Inf
sky -Inf -Inf -Inf
S/N 3.9 8.1 8.0
S/N(c) 0.0 0.0 0.0
SN(E/C) 1.04

IPAIRNAMESHIFTNEWSHIFTS/N NAMESHIFTNEWSHIFTS/N
0 11960047 0.503020 0.00000 16.5425 11960041 0.00000 0.503020 17.1932
1 11960043 0.502930 9.00030e-05 16.8563 11960045 0.000272406 0.502748 17.6301
2 11960042 0.501813 0.00120699 16.2385 11960048 -0.00315282 0.506173 16.7060
3 11960046 0.502421 0.000598967 16.2310 11960044 -0.000523476 0.503543 16.5597