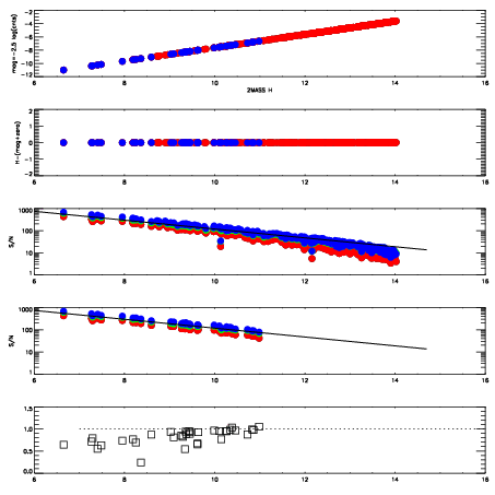
Left plots: red are targets, blue are telluric. Observed mags are calculated from median value of green chip. Zeropoint gives overall throughput: bigger number is more throughput.
First spatial plots: circles are objects, squares are tellurics, crosses are sky fibers. Colors give deviation of observed mag from expected 2MASS mag using the median zeropoint; red is brighter
Second spatial plots: circles are sky fibers. Colors give sky line brightness relative to plate median sky line brightness
FrameNreadsZeropointsMag plots Spatial mag deviation Spatial sky 16325A emission deviations (filled: sky, open: star) Spatial sky continuum emission Spatial sky telluric CO2 absorption deviations (filled: H < 10)
0 0
RedGreenBlue
z17.64
znorm Inf
sky -NaN -Inf -NaN
S/N 21.8 35.3 35.7
S/N(c) 0.0 0.0 0.0
SN(E/C) 0.87

IPAIRNAMESHIFTNEWSHIFTS/N NAMESHIFTNEWSHIFTS/N
0 11980024 0.503927 0.00000 18.7963 11980029 -0.00461832 0.508545 18.8321
1 11980027 0.499831 0.00409600 18.9107 11980026 -0.00399303 0.507920 18.8702
2 11980023 0.503619 0.000307977 18.8326 11980025 -0.00503623 0.508963 18.8346
3 11980028 0.499570 0.00435698 18.6982 11980022 0.00000 0.503927 18.7771