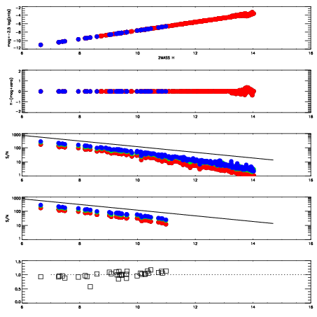
Left plots: red are targets, blue are telluric. Observed mags are calculated from median value of green chip. Zeropoint gives overall throughput: bigger number is more throughput.
First spatial plots: circles are objects, squares are tellurics, crosses are sky fibers. Colors give deviation of observed mag from expected 2MASS mag using the median zeropoint; red is brighter
Second spatial plots: circles are sky fibers. Colors give sky line brightness relative to plate median sky line brightness
FrameNreadsZeropointsMag plots Spatial mag deviation Spatial sky 16325A emission deviations (filled: sky, open: star) Spatial sky continuum emission Spatial sky telluric CO2 absorption deviations (filled: H < 10)
0 0
RedGreenBlue
z17.64
znorm Inf
sky -Inf -Inf -Inf
S/N 5.3 11.0 11.4
S/N(c) 0.0 0.0 0.0
SN(E/C) 1.01

IPAIRNAMESHIFTNEWSHIFTS/N NAMESHIFTNEWSHIFTS/N
0 11990047 0.502831 0.00000 17.6787 11990046 0.00000 0.502831 17.8940
1 11990048 0.500702 0.00212896 16.6876 11990049 -0.00413767 0.506969 16.8553
2 11990052 0.497107 0.00572398 15.9538 11990050 -0.00511894 0.507950 16.7781
3 11990051 0.497470 0.00536099 15.9364 11990053 -0.00844583 0.511277 15.2802