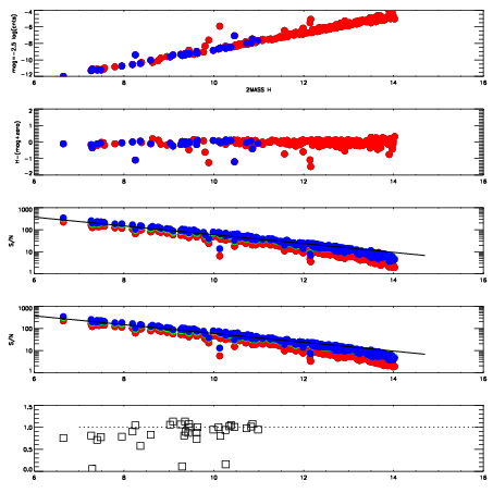
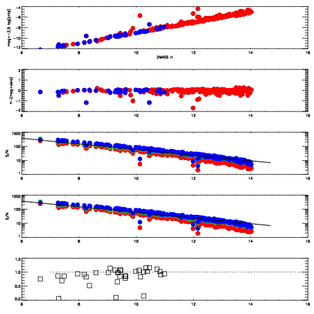
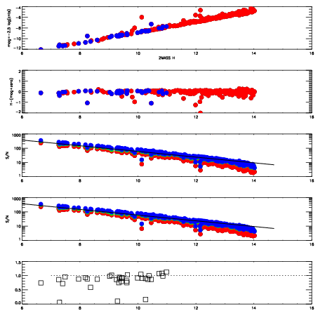
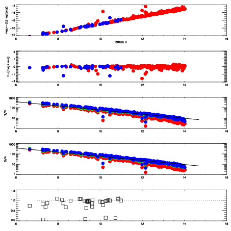
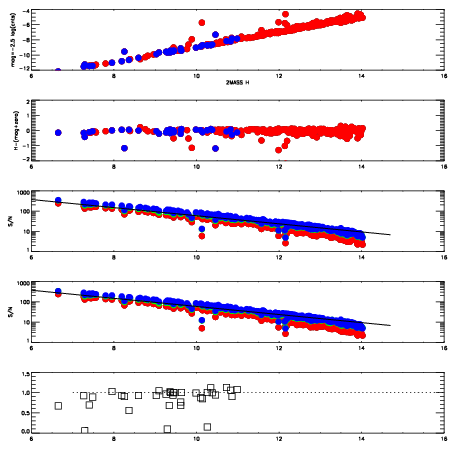
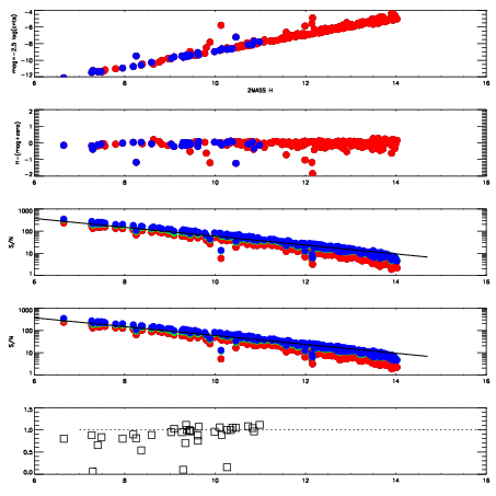
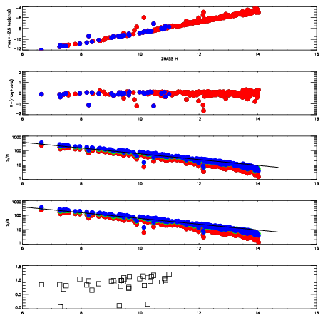
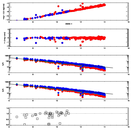
Frame | Nreads | Zeropoints | Mag plots
| Spatial mag deviation
| Spatial sky 16325A emission deviations (filled: sky, open: star)
| Spatial sky continuum emission
| Spatial sky telluric CO2 absorption deviations (filled: H < 10)
|
12250048
| 47
| | Red | Green | Blue
| z | | 18.74
| znorm | | 14.56
| sky | 14.5 | 14.2 | 14.1
| S/N | 11.7 | 20.3 | 22.1
| S/N(c) | 25.3 | 6.8 | 41.1
| SN(E/C) | 0.94
|
|
|
|
|
|
|
12250049
| 47
| | Red | Green | Blue
| z | | 18.78
| znorm | | 14.60
| sky | 14.8 | 14.3 | 14.5
| S/N | 12.1 | 20.4 | 23.1
| S/N(c) | 25.7 | 7.0 | 42.9
| SN(E/C) | 0.96
|
|
|
|
|
|
|
12250050
| 47
| | Red | Green | Blue
| z | | 18.91
| znorm | | 14.73
| sky | 14.7 | 14.5 | 14.6
| S/N | 12.8 | 21.5 | 24.5
| S/N(c) | 27.4 | 7.3 | 45.7
| SN(E/C) | 0.95
|
|
|
|
|
|
|
12250051
| 47
| | Red | Green | Blue
| z | | 18.82
| znorm | | 14.64
| sky | 14.6 | 14.6 | 14.6
| S/N | 13.0 | 21.0 | 24.1
| S/N(c) | 26.7 | 7.1 | 45.0
| SN(E/C) | 0.89
|
|
|
|
|
|
|
12250052
| 47
| | Red | Green | Blue
| z | | 18.96
| znorm | | 14.78
| sky | 14.8 | 14.5 | 14.7
| S/N | 13.2 | 22.3 | 25.9
| S/N(c) | 28.7 | 7.6 | 47.8
| SN(E/C) | 0.93
|
|
|
|
|
|
|
12250053
| 47
| | Red | Green | Blue
| z | | 18.99
| znorm | | 14.81
| sky | 14.8 | 14.8 | 14.8
| S/N | 13.6 | 22.7 | 26.3
| S/N(c) | 29.2 | 7.6 | 48.4
| SN(E/C) | 0.93
|
|
|
|
|
|
|
12250054
| 47
| | Red | Green | Blue
| z | | 19.00
| znorm | | 14.82
| sky | 14.9 | 14.8 | 14.8
| S/N | 13.8 | 22.9 | 27.0
| S/N(c) | 29.4 | 7.7 | 48.7
| SN(E/C) | 0.94
|
|
|
|
|
|
|
12250055
| 47
| | Red | Green | Blue
| z | | 19.02
| znorm | | 14.84
| sky | 14.8 | 15.0 | 14.8
| S/N | 13.9 | 23.3 | 27.1
| S/N(c) | 29.2 | 7.7 | 48.4
| SN(E/C) | 0.90
|
|
|
|
|
|
|