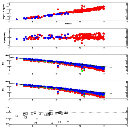
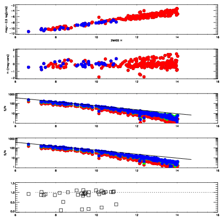
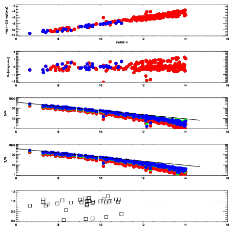
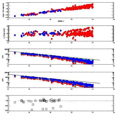
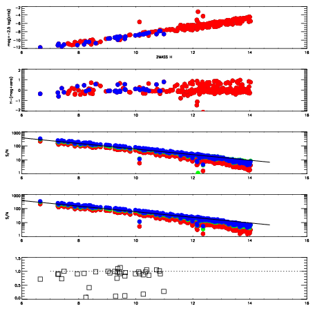
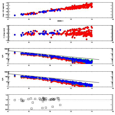
Frame | Nreads | Zeropoints | Mag plots
| Spatial mag deviation
| Spatial sky 16325A emission deviations (filled: sky, open: star)
| Spatial sky continuum emission
| Spatial sky telluric CO2 absorption deviations (filled: H < 10)
|
12500011
| 47
| | Red | Green | Blue
| z | | 17.98
| znorm | | 13.80
| sky | 13.8 | 13.8 | 13.6
| S/N | 6.5 | 12.2 | 12.1
| S/N(c) | 10.5 | 5.5 | 32.0
| SN(E/C) | 0.98
|
|
|
|
|
|
|
12500012
| 47
| | Red | Green | Blue
| z | | 17.89
| znorm | | 13.71
| sky | 14.0 | 14.0 | 13.9
| S/N | 5.8 | 11.3 | 10.7
| S/N(c) | 10.3 | 5.3 | 31.1
| SN(E/C) | 0.97
|
|
|
|
|
|
|
12500013
| 47
| | Red | Green | Blue
| z | | 17.48
| znorm | | 13.30
| sky | 14.2 | 14.1 | 14.1
| S/N | 4.2 | 8.1 | 8.3
| S/N(c) | 7.9 | 4.3 | 25.0
| SN(E/C) | 1.00
|
|
|
|
|
|
|
12500014
| 47
| | Red | Green | Blue
| z | | 18.13
| znorm | | 13.95
| sky | 14.1 | 14.1 | 14.0
| S/N | 6.8 | 13.5 | 12.9
| S/N(c) | 12.2 | 6.0 | 35.5
| SN(E/C) | 0.95
|
|
|
|
|
|
|
12500015
| 47
| | Red | Green | Blue
| z | | 18.12
| znorm | | 13.94
| sky | 14.2 | 14.3 | 14.2
| S/N | 7.2 | 14.0 | 13.7
| S/N(c) | 12.5 | 6.1 | 36.1
| SN(E/C) | 0.95
|
|
|
|
|
|
|
12500016
| 47
| | Red | Green | Blue
| z | | 18.21
| znorm | | 14.03
| sky | 14.2 | 14.2 | 14.1
| S/N | 7.4 | 14.5 | 14.3
| S/N(c) | 13.1 | 6.3 | 37.6
| SN(E/C) | 0.97
|
|
|
|
|
|
|
12500017
| 47
| | Red | Green | Blue
| z | | 18.44
| znorm | | 14.26
| sky | 14.3 | 14.2 | 14.1
| S/N | 9.3 | 16.8 | 16.9
| S/N(c) | 15.1 | 7.2 | 43.2
| SN(E/C) | 0.92
|
|
|
|
|
|
|
12500018
| 47
| | Red | Green | Blue
| z | | 18.33
| znorm | | 14.15
| sky | 14.3 | 14.3 | 14.3
| S/N | 8.4 | 15.4 | 15.4
| S/N(c) | 14.0 | 6.8 | 41.3
| SN(E/C) | 0.97
|
|
|
|
|
|
|
12500019
| 47
| | Red | Green | Blue
| z | | 18.59
| znorm | | 14.41
| sky | 14.4 | 14.6 | 14.3
| S/N | 9.9 | 18.1 | 18.5
| S/N(c) | 16.8 | 8.0 | 48.4
| SN(E/C) | 0.92
|
|
|
|
|
|
|
12500020
| 47
| | Red | Green | Blue
| z | | 18.71
| znorm | | 14.53
| sky | 14.4 | 14.7 | 14.6
| S/N | 10.9 | 19.4 | 20.4
| S/N(c) | 18.2 | 8.6 | 52.4
| SN(E/C) | 0.90
|
|
|
|
|
|
|
12500021
| 47
| | Red | Green | Blue
| z | | 18.69
| znorm | | 14.51
| sky | 14.4 | 14.8 | 14.6
| S/N | 10.8 | 19.1 | 20.5
| S/N(c) | 18.1 | 8.5 | 52.3
| SN(E/C) | 0.95
|
|
|
|
|
|
|
12500022
| 47
| | Red | Green | Blue
| z | | 18.75
| znorm | | 14.57
| sky | 14.4 | 14.9 | 14.6
| S/N | 11.2 | 19.5 | 21.3
| S/N(c) | 18.6 | 8.8 | 54.6
| SN(E/C) | 0.91
|
|
|
|
|
|
|