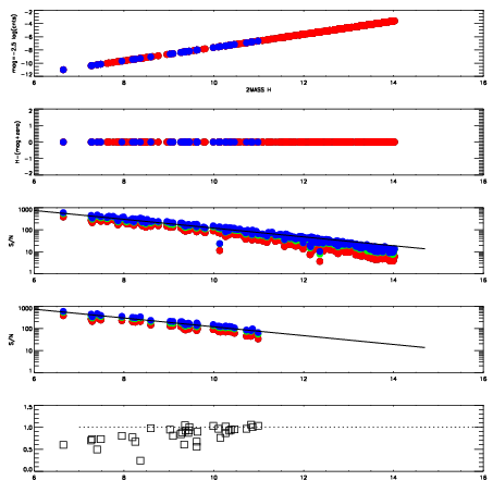
Left plots: red are targets, blue are telluric. Observed mags are calculated from median value of green chip. Zeropoint gives overall throughput: bigger number is more throughput.
First spatial plots: circles are objects, squares are tellurics, crosses are sky fibers. Colors give deviation of observed mag from expected 2MASS mag using the median zeropoint; red is brighter
Second spatial plots: circles are sky fibers. Colors give sky line brightness relative to plate median sky line brightness
FrameNreadsZeropointsMag plots Spatial mag deviation Spatial sky 16325A emission deviations (filled: sky, open: star) Spatial sky continuum emission Spatial sky telluric CO2 absorption deviations (filled: H < 10)
0 0
RedGreenBlue
z17.64
znorm Inf
sky -Inf -Inf -Inf
S/N 20.5 34.8 41.8
S/N(c) 0.0 0.0 0.0
SN(E/C) 0.88

IPAIRNAMESHIFTNEWSHIFTS/N NAMESHIFTNEWSHIFTS/N
0 12520035 0.490874 0.00000 18.5060 12520036 -0.00205934 0.492933 18.4980
1 12520038 0.489475 0.00139898 18.8970 12520040 -0.00257005 0.493444 18.8930
2 12520039 0.489945 0.000928998 18.8859 12520037 -0.00259838 0.493472 18.7453
3 12520034 0.490728 0.000146002 18.4725 12520033 0.00000 0.490874 18.3294