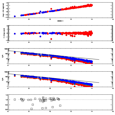
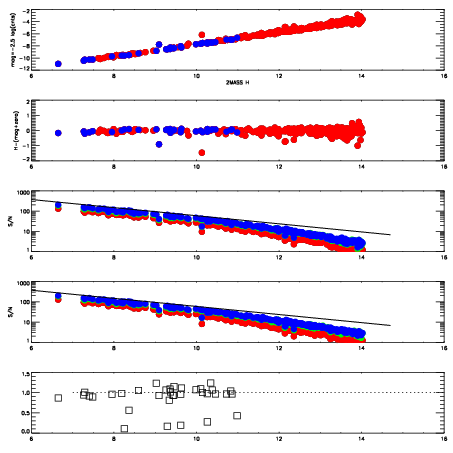
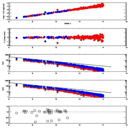
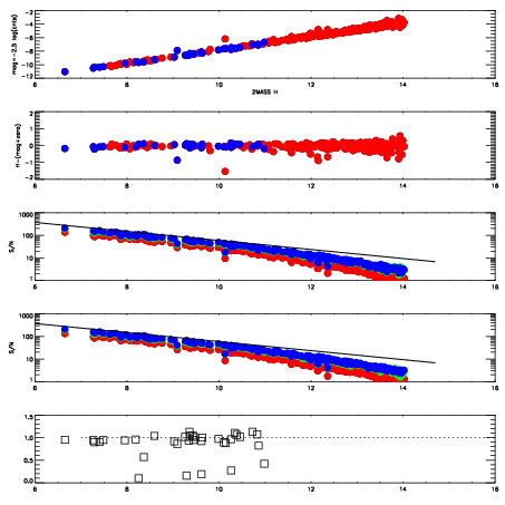
Frame | Nreads | Zeropoints | Mag plots
| Spatial mag deviation
| Spatial sky 16325A emission deviations (filled: sky, open: star)
| Spatial sky continuum emission
| Spatial sky telluric CO2 absorption deviations (filled: H < 10)
|
12540037
| 47
| | Red | Green | Blue
| z | | 17.59
| znorm | | 13.41
| sky | 14.3 | 14.2 | 14.1
| S/N | 4.8 | 9.4 | 9.4
| S/N(c) | 8.9 | 4.7 | 26.9
| SN(E/C) | 0.98
|
|
|
|
|
|
|
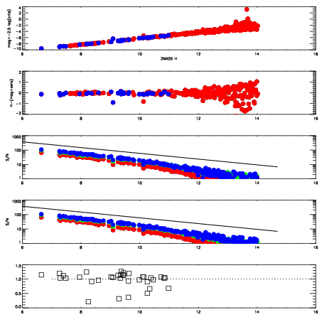
12540038
| 47
| | Red | Green | Blue
| z | | 17.83
| znorm | | 13.65
| sky | 14.4 | 14.2 | 14.3
| S/N | 6.0 | 10.9 | 11.5
| S/N(c) | 10.5 | 5.3 | 31.9
| SN(E/C) | 0.95
|
|
|
|
|
|
|
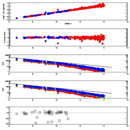
12540039
| 47
| | Red | Green | Blue
| z | | 17.85
| znorm | | 13.67
| sky | 14.2 | 14.3 | 14.4
| S/N | 5.8 | 11.5 | 12.2
| S/N(c) | 10.7 | 5.4 | 32.0
| SN(E/C) | 0.94
|
|
|
|
|
|
|
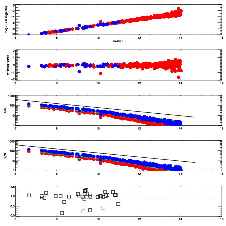
12540040
| 47
| | Red | Green | Blue
| z | | 17.77
| znorm | | 13.59
| sky | 14.5 | 14.3 | 14.4
| S/N | 5.4 | 10.5 | 10.8
| S/N(c) | 10.2 | 5.1 | 30.7
| SN(E/C) | 0.96
|
|
|
|
|
|
|
12540041
| 47
| | Red | Green | Blue
| z | | 17.85
| znorm | | 13.67
| sky | 14.5 | 14.3 | 14.4
| S/N | 5.8 | 11.2 | 11.6
| S/N(c) | 10.6 | 5.3 | 32.4
| SN(E/C) | 0.98
|
|
|
|
|
|
|
12540042
| 47
| | Red | Green | Blue
| z | | 16.92
| znorm | | 12.74
| sky | 14.7 | 14.5 | 14.7
| S/N | 2.4 | 5.3 | 5.3
| S/N(c) | 5.5 | 3.2 | 18.7
| SN(E/C) | 1.00
|
|
|
|
|
|
|
12540043
| 47
| | Red | Green | Blue
| z | | 17.57
| znorm | | 13.39
| sky | 14.5 | 14.4 | 14.5
| S/N | 4.6 | 9.1 | 9.1
| S/N(c) | 9.0 | 4.7 | 28.2
| SN(E/C) | 0.98
|
|
|
|
|
|
|
12540044
| 47
| | Red | Green | Blue
| z | | 16.34
| znorm | | 12.16
| sky | 14.0 | 14.0 | 14.0
| S/N | 1.3 | 3.2 | 3.3
| S/N(c) | 3.2 | 2.1 | 12.6
| SN(E/C) | 1.04
|
|
|
|
|
|
|