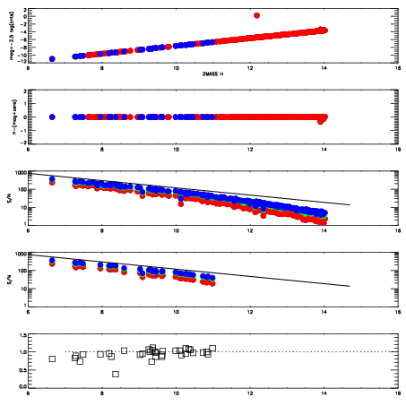
Left plots: red are targets, blue are telluric. Observed mags are calculated from median value of green chip. Zeropoint gives overall throughput: bigger number is more throughput.
First spatial plots: circles are objects, squares are tellurics, crosses are sky fibers. Colors give deviation of observed mag from expected 2MASS mag using the median zeropoint; red is brighter
Second spatial plots: circles are sky fibers. Colors give sky line brightness relative to plate median sky line brightness
FrameNreadsZeropointsMag plots Spatial mag deviation Spatial sky 16325A emission deviations (filled: sky, open: star) Spatial sky continuum emission Spatial sky telluric CO2 absorption deviations (filled: H < 10)
0 0
RedGreenBlue
z17.64
znorm Inf
sky -Inf -Inf -Inf
S/N 8.7 17.0 18.2
S/N(c) 0.0 0.0 0.0
SN(E/C) 0.96

IPAIRNAMESHIFTNEWSHIFTS/N NAMESHIFTNEWSHIFTS/N
0 12540043 0.490655 0.00000 17.5888 12540037 0.00000 0.490655 17.5858
1 12540038 0.489540 0.00111499 17.8585 12540041 -0.000319879 0.490975 17.8617
2 12540039 0.489808 0.000847012 17.8509 12540040 -0.000247216 0.490902 17.7935
3 12540042 0.490469 0.000185996 16.9162 12540044 -0.00425559 0.494911 16.3562