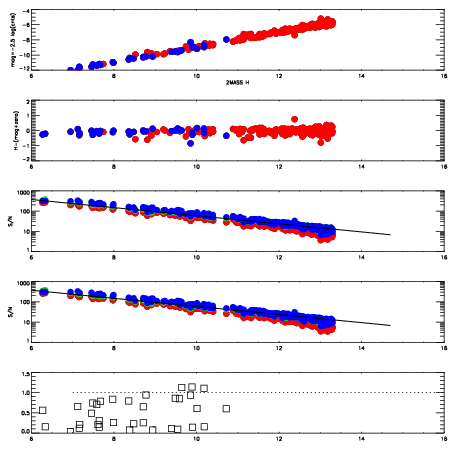
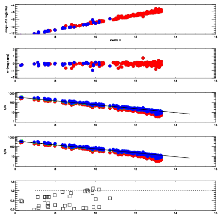
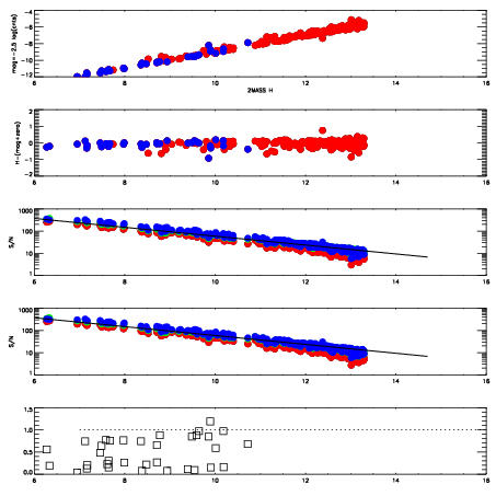
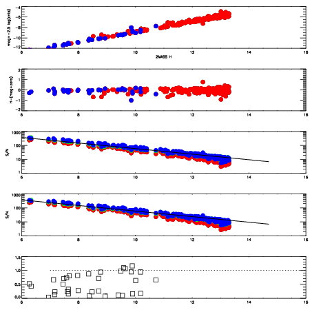
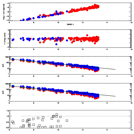
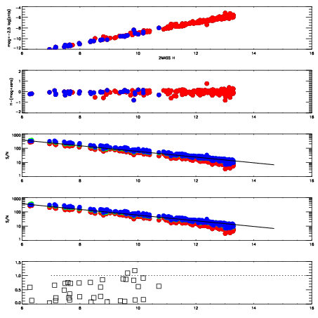
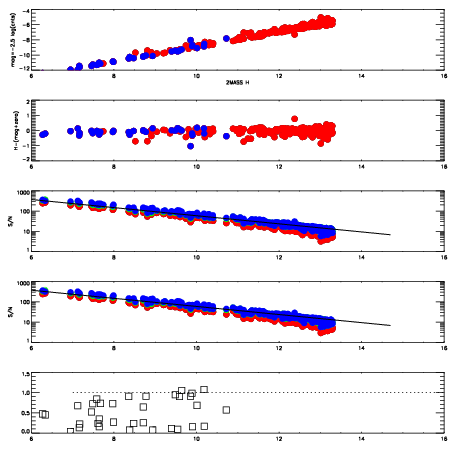
Frame | Nreads | Zeropoints | Mag plots
| Spatial mag deviation
| Spatial sky 16325A emission deviations (filled: sky, open: star)
| Spatial sky continuum emission
| Spatial sky telluric CO2 absorption deviations (filled: H < 10)
|
12720049
| 47
| | Red | Green | Blue
| z | | 18.95
| znorm | | 14.77
| sky | 14.4 | 14.0 | 14.0
| S/N | 14.5 | 22.4 | 22.8
| S/N(c) | 12.4 | 33.3 | 31.1
| SN(E/C) | 0.53
|
|
|
|
|
|
|
12720050
| 47
| | Red | Green | Blue
| z | | 18.93
| znorm | | 14.75
| sky | 14.4 | 14.1 | 14.2
| S/N | 13.9 | 21.8 | 23.2
| S/N(c) | 12.4 | 32.7 | 30.6
| SN(E/C) | 0.54
|
|
|
|
|
|
|
12720051
| 47
| | Red | Green | Blue
| z | | 18.92
| znorm | | 14.73
| sky | 14.2 | 14.2 | 14.3
| S/N | 13.5 | 21.6 | 22.8
| S/N(c) | 12.5 | 32.9 | 31.4
| SN(E/C) | 0.52
|
|
|
|
|
|
|
12720052
| 47
| | Red | Green | Blue
| z | | 18.88
| znorm | | 14.70
| sky | 14.5 | 14.4 | 14.3
| S/N | 13.3 | 21.1 | 21.9
| S/N(c) | 12.4 | 32.4 | 30.9
| SN(E/C) | 0.52
|
|
|
|
|
|
|
12720053
| 47
| | Red | Green | Blue
| z | | 18.91
| znorm | | 14.73
| sky | 14.4 | 14.3 | 14.3
| S/N | 13.4 | 21.2 | 22.3
| S/N(c) | 12.5 | 33.1 | 32.0
| SN(E/C) | 0.53
|
|
|
|
|
|
|
12720054
| 47
| | Red | Green | Blue
| z | | 18.99
| znorm | | 14.81
| sky | 14.2 | 14.2 | 14.2
| S/N | 14.3 | 22.6 | 23.5
| S/N(c) | 13.2 | 34.4 | 33.5
| SN(E/C) | 0.56
|
|
|
|
|
|
|
12720055
| 47
| | Red | Green | Blue
| z | | 19.02
| znorm | | 14.84
| sky | 14.3 | 14.3 | 14.2
| S/N | 14.5 | 23.1 | 24.0
| S/N(c) | 13.5 | 34.7 | 35.3
| SN(E/C) | 0.56
|
|
|
|
|
|
|
12720056
| 47
| | Red | Green | Blue
| z | | 19.02
| znorm | | 14.84
| sky | 14.2 | 14.4 | 14.4
| S/N | 15.2 | 23.3 | 24.4
| S/N(c) | 13.7 | 35.2 | 35.8
| SN(E/C) | 0.59
|
|
|
|
|
|
|