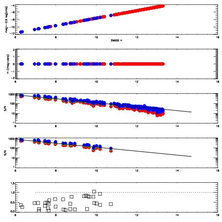
Left plots: red are targets, blue are telluric. Observed mags are calculated from median value of green chip. Zeropoint gives overall throughput: bigger number is more throughput.
First spatial plots: circles are objects, squares are tellurics, crosses are sky fibers. Colors give deviation of observed mag from expected 2MASS mag using the median zeropoint; red is brighter
Second spatial plots: circles are sky fibers. Colors give sky line brightness relative to plate median sky line brightness
FrameNreadsZeropointsMag plots Spatial mag deviation Spatial sky 16325A emission deviations (filled: sky, open: star) Spatial sky continuum emission Spatial sky telluric CO2 absorption deviations (filled: H < 10)
0 0
RedGreenBlue
z17.64
znorm Inf
sky -NaN -Inf -Inf
S/N 24.2 42.1 43.5
S/N(c) 0.0 0.0 0.0
SN(E/C) 0.44

IPAIRNAMESHIFTNEWSHIFTS/N NAMESHIFTNEWSHIFTS/N
0 12720055 0.491572 0.00000 18.9913 12720056 -0.000429440 0.492001 18.9943
1 12720054 0.490576 0.000995994 18.9686 12720049 0.00000 0.491572 18.9328
2 12720050 0.487538 0.00403398 18.9058 12720053 -0.00147033 0.493042 18.8776
3 12720051 0.487164 0.00440800 18.8877 12720052 -0.00154888 0.493121 18.8559