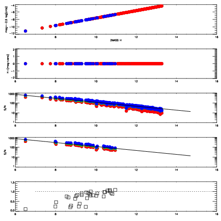
Left plots: red are targets, blue are telluric. Observed mags are calculated from median value of green chip. Zeropoint gives overall throughput: bigger number is more throughput.
First spatial plots: circles are objects, squares are tellurics, crosses are sky fibers. Colors give deviation of observed mag from expected 2MASS mag using the median zeropoint; red is brighter
Second spatial plots: circles are sky fibers. Colors give sky line brightness relative to plate median sky line brightness
FrameNreadsZeropointsMag plots Spatial mag deviation Spatial sky 16325A emission deviations (filled: sky, open: star) Spatial sky continuum emission Spatial sky telluric CO2 absorption deviations (filled: H < 10)
0 0
RedGreenBlue
z17.64
znorm Inf
sky -Inf -Inf -Inf
S/N 26.2 44.4 47.4
S/N(c) 0.0 0.0 0.0
SN(E/C) 0.81

IPAIRNAMESHIFTNEWSHIFTS/N NAMESHIFTNEWSHIFTS/N
0 12670028 0.489496 0.00000 18.6948 12670022 0.00000 0.489496 18.8422
1 12670023 0.489093 0.000402987 18.9515 12670026 3.19449e-05 0.489464 19.1612
2 12670024 0.488436 0.00105998 18.9487 12670025 -5.21094e-05 0.489548 19.1357
3 12670027 0.488677 0.000818998 18.9155 12670029 0.000227278 0.489269 19.0065