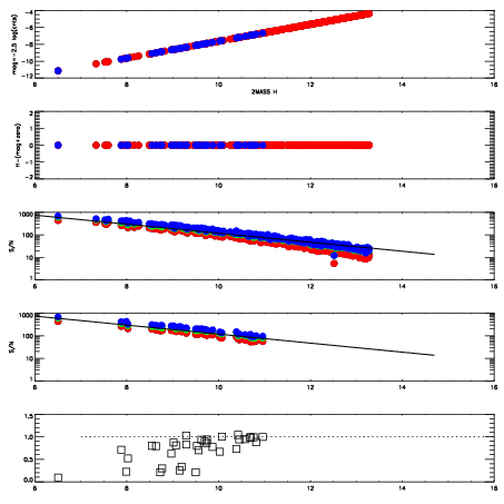
Left plots: red are targets, blue are telluric. Observed mags are calculated from median value of green chip. Zeropoint gives overall throughput: bigger number is more throughput.
First spatial plots: circles are objects, squares are tellurics, crosses are sky fibers. Colors give deviation of observed mag from expected 2MASS mag using the median zeropoint; red is brighter
Second spatial plots: circles are sky fibers. Colors give sky line brightness relative to plate median sky line brightness
FrameNreadsZeropointsMag plots Spatial mag deviation Spatial sky 16325A emission deviations (filled: sky, open: star) Spatial sky continuum emission Spatial sky telluric CO2 absorption deviations (filled: H < 10)
0 0
RedGreenBlue
z17.64
znorm Inf
sky -Inf -Inf -Inf
S/N 24.2 40.6 43.1
S/N(c) 0.0 0.0 0.0
SN(E/C) 0.80

IPAIRNAMESHIFTNEWSHIFTS/N NAMESHIFTNEWSHIFTS/N
0 12610053 0.490763 0.00000 19.0232 12610054 -0.000661065 0.491424 19.0183
1 12610052 0.489338 0.00142500 19.0226 12610055 -0.000232759 0.490996 18.9954
2 12610056 0.490388 0.000375003 18.9986 12610051 0.00000 0.490763 18.9909
3 12610057 0.490699 6.40154e-05 18.8943 12610058 -0.00233465 0.493098 18.9479