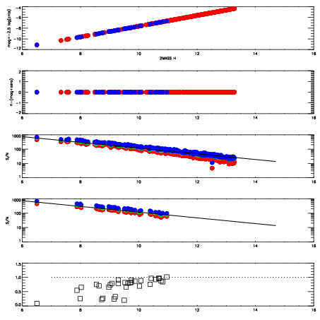
Left plots: red are targets, blue are telluric. Observed mags are calculated from median value of green chip. Zeropoint gives overall throughput: bigger number is more throughput.
First spatial plots: circles are objects, squares are tellurics, crosses are sky fibers. Colors give deviation of observed mag from expected 2MASS mag using the median zeropoint; red is brighter
Second spatial plots: circles are sky fibers. Colors give sky line brightness relative to plate median sky line brightness
FrameNreadsZeropointsMag plots Spatial mag deviation Spatial sky 16325A emission deviations (filled: sky, open: star) Spatial sky continuum emission Spatial sky telluric CO2 absorption deviations (filled: H < 10)
0 0
RedGreenBlue
z17.64
znorm Inf
sky -Inf -Inf -Inf
S/N 27.1 42.7 45.2
S/N(c) 0.0 0.0 0.0
SN(E/C) 0.78

IPAIRNAMESHIFTNEWSHIFTS/N NAMESHIFTNEWSHIFTS/N
0 12670016 0.490861 0.00000 19.1383 12670014 -0.00216205 0.493023 19.1302
1 12670017 0.490261 0.000600010 19.1104 12670015 -0.00153769 0.492399 19.0756
2 12670012 0.488548 0.00231299 19.0677 12670011 0.00000 0.490861 19.0473
3 12670013 0.489582 0.00127900 19.0135 12670018 -0.00107531 0.491936 18.9333