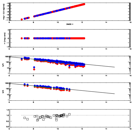
Left plots: red are targets, blue are telluric. Observed mags are calculated from median value of green chip. Zeropoint gives overall throughput: bigger number is more throughput.
First spatial plots: circles are objects, squares are tellurics, crosses are sky fibers. Colors give deviation of observed mag from expected 2MASS mag using the median zeropoint; red is brighter
Second spatial plots: circles are sky fibers. Colors give sky line brightness relative to plate median sky line brightness
FrameNreadsZeropointsMag plots Spatial mag deviation Spatial sky 16325A emission deviations (filled: sky, open: star) Spatial sky continuum emission Spatial sky telluric CO2 absorption deviations (filled: H < 10)
0 0
RedGreenBlue
z17.64
znorm Inf
sky -NaN -Inf -NaN
S/N 22.7 38.2 36.7
S/N(c) 0.0 0.0 0.0
SN(E/C) 0.91

IPAIRNAMESHIFTNEWSHIFTS/N NAMESHIFTNEWSHIFTS/N
0 11870094 0.498933 0.00000 18.6459 11870092 0.00000 0.498933 18.6145
1 11870097 0.496015 0.00291798 18.8817 11870099 -0.000990585 0.499924 18.7476
2 11870098 0.496678 0.00225499 18.8479 11870096 -0.00264293 0.501576 18.7246
3 11870093 0.498149 0.000783980 18.6437 11870095 -0.00171169 0.500645 18.5415