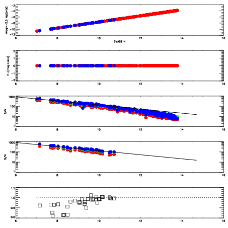
Left plots: red are targets, blue are telluric. Observed mags are calculated from median value of green chip. Zeropoint gives overall throughput: bigger number is more throughput.
First spatial plots: circles are objects, squares are tellurics, crosses are sky fibers. Colors give deviation of observed mag from expected 2MASS mag using the median zeropoint; red is brighter
Second spatial plots: circles are sky fibers. Colors give sky line brightness relative to plate median sky line brightness
FrameNreadsZeropointsMag plots Spatial mag deviation Spatial sky 16325A emission deviations (filled: sky, open: star) Spatial sky continuum emission Spatial sky telluric CO2 absorption deviations (filled: H < 10)
0 0
RedGreenBlue
z17.64
znorm Inf
sky -Inf -Inf -NaN
S/N 21.5 34.6 35.4
S/N(c) 0.0 0.0 0.0
SN(E/C) 0.85

IPAIRNAMESHIFTNEWSHIFTS/N NAMESHIFTNEWSHIFTS/N
0 12350030 0.494862 0.00000 18.6347 12350024 0.00000 0.494862 18.3517
1 12350029 0.493873 0.000988990 18.8938 12350028 0.00180335 0.493059 18.6903
2 12350026 0.492295 0.00256699 18.7088 12350027 0.00182299 0.493039 18.4142
3 12350025 0.491743 0.00311899 18.4819 12350031 -0.00159205 0.496454 18.3011
4 12350033 0.493810 0.00105199 17.9423 12350032 -0.00166649 0.496528 18.2052