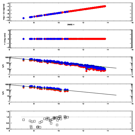
Left plots: red are targets, blue are telluric. Observed mags are calculated from median value of green chip. Zeropoint gives overall throughput: bigger number is more throughput.
First spatial plots: circles are objects, squares are tellurics, crosses are sky fibers. Colors give deviation of observed mag from expected 2MASS mag using the median zeropoint; red is brighter
Second spatial plots: circles are sky fibers. Colors give sky line brightness relative to plate median sky line brightness
FrameNreadsZeropointsMag plots Spatial mag deviation Spatial sky 16325A emission deviations (filled: sky, open: star) Spatial sky continuum emission Spatial sky telluric CO2 absorption deviations (filled: H < 10)
0 0
RedGreenBlue
z17.64
znorm Inf
sky -Inf -Inf -Inf
S/N 25.7 42.8 43.3
S/N(c) 0.0 0.0 0.0
SN(E/C) 0.80

IPAIRNAMESHIFTNEWSHIFTS/N NAMESHIFTNEWSHIFTS/N
0 12520050 0.493728 0.00000 18.7837 12520047 -0.00160364 0.495332 18.7793
1 12520049 0.492756 0.000972003 18.8647 12520051 -4.87309e-05 0.493777 18.9112
2 12520046 0.489763 0.00396502 18.8101 12520048 -0.000462019 0.494190 18.8372
3 12520045 0.489440 0.00428802 18.6728 12520044 0.00000 0.493728 18.7374