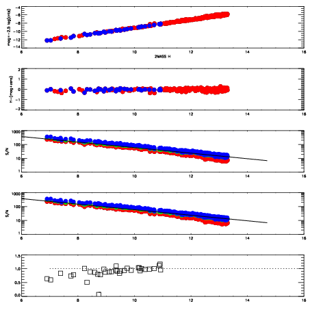
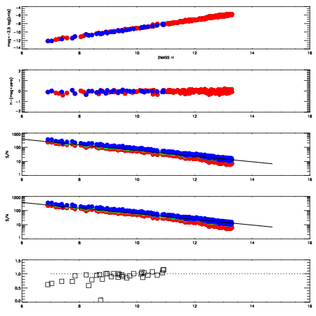
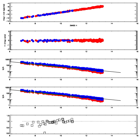
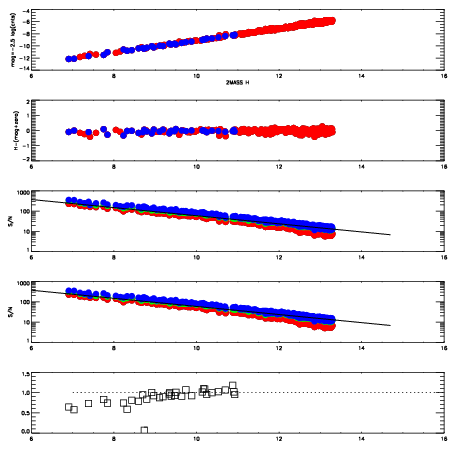
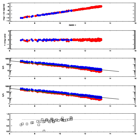
Frame | Nreads | Zeropoints | Mag plots
| Spatial mag deviation
| Spatial sky 16325A emission deviations (filled: sky, open: star)
| Spatial sky continuum emission
| Spatial sky telluric CO2 absorption deviations (filled: H < 10)
|
12690033
| 47
| | Red | Green | Blue
| z | | 19.10
| znorm | | 14.92
| sky | 14.8 | 14.7 | 14.8
| S/N | 17.0 | 27.4 | 29.2
| S/N(c) | 27.7 | 7.3 | 6.9
| SN(E/C) | 0.90
|
|
|
|
|
|
|
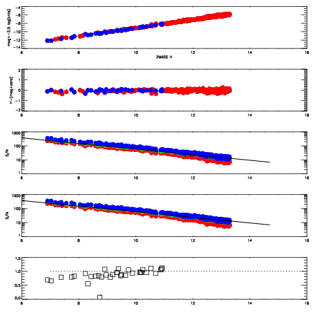
12690034
| 47
| | Red | Green | Blue
| z | | 19.11
| znorm | | 14.93
| sky | 14.8 | 14.6 | 15.2
| S/N | 17.5 | 27.6 | 29.9
| S/N(c) | 27.6 | 7.3 | 6.9
| SN(E/C) | 0.94
|
|
|
|
|
|
|
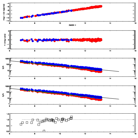
12690035
| 47
| | Red | Green | Blue
| z | | 19.12
| znorm | | 14.94
| sky | 14.8 | 14.8 | 15.1
| S/N | 17.3 | 27.8 | 30.4
| S/N(c) | 27.8 | 7.4 | 7.0
| SN(E/C) | 0.98
|
|
|
|
|
|
|
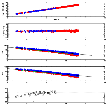
12690036
| 47
| | Red | Green | Blue
| z | | 19.15
| znorm | | 14.97
| sky | 14.5 | 14.7 | 15.0
| S/N | 17.9 | 28.5 | 30.8
| S/N(c) | 28.4 | 7.5 | 7.1
| SN(E/C) | 0.93
|
|
|
|
|
|
|
12690037
| 47
| | Red | Green | Blue
| z | | 19.15
| znorm | | 14.97
| sky | 14.6 | 14.7 | 15.1
| S/N | 17.6 | 28.4 | 30.6
| S/N(c) | 28.2 | 7.5 | 7.1
| SN(E/C) | 0.92
|
|
|
|
|
|
|
12690038
| 47
| | Red | Green | Blue
| z | | 19.17
| znorm | | 14.99
| sky | 14.7 | 14.7 | 15.0
| S/N | 18.2 | 28.8 | 31.2
| S/N(c) | 28.5 | 7.6 | 7.2
| SN(E/C) | 0.92
|
|
|
|
|
|
|
12690039
| 47
| | Red | Green | Blue
| z | | 19.13
| znorm | | 14.95
| sky | 14.8 | 14.8 | 15.1
| S/N | 18.0 | 28.4 | 30.6
| S/N(c) | 27.8 | 7.4 | 7.0
| SN(E/C) | 0.96
|
|
|
|
|
|
|
12690040
| 47
| | Red | Green | Blue
| z | | 19.14
| znorm | | 14.96
| sky | 14.7 | 14.8 | 15.1
| S/N | 17.8 | 28.3 | 30.7
| S/N(c) | 27.6 | 7.5 | 7.1
| SN(E/C) | 0.94
|
|
|
|
|
|
|
12690041
| 47
| | Red | Green | Blue
| z | | 19.15
| znorm | | 14.97
| sky | 14.7 | 14.8 | 15.2
| S/N | 17.9 | 28.8 | 31.0
| S/N(c) | 28.1 | 7.5 | 7.1
| SN(E/C) | 0.93
|
|
|
|
|
|
|
12690042
| 47
| | Red | Green | Blue
| z | | 19.11
| znorm | | 14.93
| sky | 14.9 | 15.0 | 15.1
| S/N | 17.4 | 27.9 | 29.9
| S/N(c) | 27.2 | 7.3 | 7.0
| SN(E/C) | 0.96
|
|
|
|
|
|
|