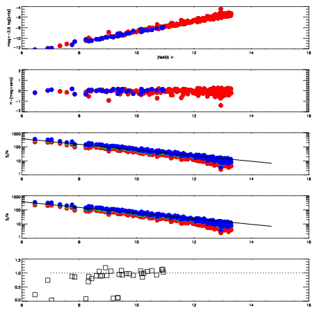
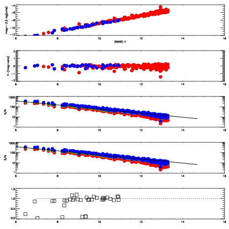
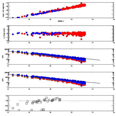
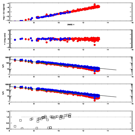
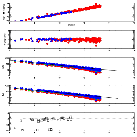
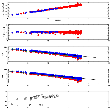
Frame | Nreads | Zeropoints | Mag plots
| Spatial mag deviation
| Spatial sky 16325A emission deviations (filled: sky, open: star)
| Spatial sky continuum emission
| Spatial sky telluric CO2 absorption deviations (filled: H < 10)
|
12730022
| 47
| | Red | Green | Blue
| z | | 18.44
| znorm | | 14.26
| sky | 14.3 | 13.9 | 14.0
| S/N | 8.7 | 15.5 | 14.8
| S/N(c) | 16.2 | 9.6 | 5.3
| SN(E/C) | 0.94
|
|
|
|
|
|
|
12730023
| 47
| | Red | Green | Blue
| z | | 18.70
| znorm | | 14.52
| sky | 14.3 | 14.1 | 14.2
| S/N | 10.5 | 18.2 | 18.2
| S/N(c) | 18.8 | 11.0 | 6.1
| SN(E/C) | 0.93
|
|
|
|
|
|
|
12730024
| 47
| | Red | Green | Blue
| z | | 18.78
| znorm | | 14.60
| sky | 14.2 | 14.2 | 14.3
| S/N | 11.5 | 19.4 | 19.8
| S/N(c) | 19.8 | 11.5 | 6.3
| SN(E/C) | 0.93
|
|
|
|
|
|
|
12730025
| 47
| | Red | Green | Blue
| z | | 18.80
| znorm | | 14.62
| sky | 14.2 | 14.1 | 14.3
| S/N | 11.4 | 19.4 | 19.5
| S/N(c) | 19.8 | 11.4 | 6.4
| SN(E/C) | 0.91
|
|
|
|
|
|
|
12730026
| 47
| | Red | Green | Blue
| z | | 18.90
| znorm | | 14.72
| sky | 14.2 | 14.1 | 14.2
| S/N | 12.6 | 20.9 | 21.3
| S/N(c) | 21.2 | 12.1 | 6.8
| SN(E/C) | 0.94
|
|
|
|
|
|
|
12730027
| 47
| | Red | Green | Blue
| z | | 19.00
| znorm | | 14.82
| sky | 14.1 | 14.2 | 14.3
| S/N | 14.1 | 22.6 | 23.6
| S/N(c) | 22.5 | 12.4 | 7.2
| SN(E/C) | 0.89
|
|
|
|
|
|
|
12730028
| 47
| | Red | Green | Blue
| z | | 18.96
| znorm | | 14.78
| sky | 14.3 | 14.2 | 14.3
| S/N | 13.4 | 22.3 | 23.0
| S/N(c) | 22.1 | 12.4 | 7.1
| SN(E/C) | 0.93
|
|
|
|
|
|
|
12730029
| 47
| | Red | Green | Blue
| z | | 18.94
| znorm | | 14.76
| sky | 14.3 | 14.4 | 14.5
| S/N | 13.1 | 22.2 | 23.2
| S/N(c) | 21.7 | 12.2 | 7.0
| SN(E/C) | 0.91
|
|
|
|
|
|
|