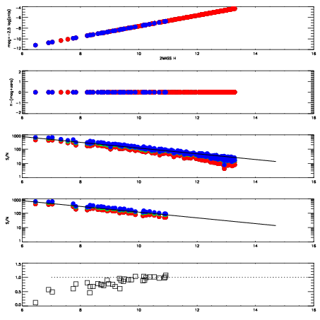
Left plots: red are targets, blue are telluric. Observed mags are calculated from median value of green chip. Zeropoint gives overall throughput: bigger number is more throughput.
First spatial plots: circles are objects, squares are tellurics, crosses are sky fibers. Colors give deviation of observed mag from expected 2MASS mag using the median zeropoint; red is brighter
Second spatial plots: circles are sky fibers. Colors give sky line brightness relative to plate median sky line brightness
FrameNreadsZeropointsMag plots Spatial mag deviation Spatial sky 16325A emission deviations (filled: sky, open: star) Spatial sky continuum emission Spatial sky telluric CO2 absorption deviations (filled: H < 10)
0 0
RedGreenBlue
z17.64
znorm Inf
sky -Inf -Inf -Inf
S/N 21.0 37.5 39.3
S/N(c) 0.0 0.0 0.0
SN(E/C) 0.86

IPAIRNAMESHIFTNEWSHIFTS/N NAMESHIFTNEWSHIFTS/N
0 12730024 0.487537 0.00000 18.7635 12730025 -0.00209746 0.489634 18.7723
1 12730027 0.485420 0.00211701 18.9819 12730029 -0.000187886 0.487725 18.9210
2 12730028 0.485242 0.00229499 18.9359 12730026 -0.00258314 0.490120 18.8792
3 12730023 0.486907 0.000629991 18.6898 12730022 0.00000 0.487537 18.4243