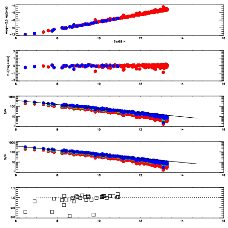
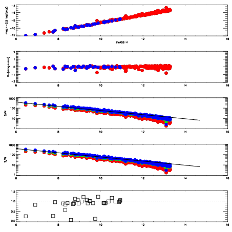
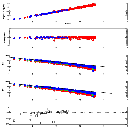
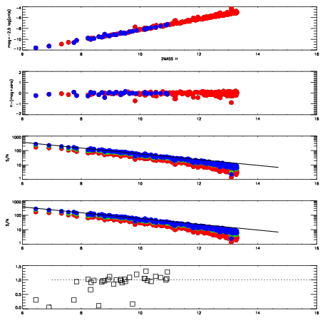
Frame | Nreads | Zeropoints | Mag plots
| Spatial mag deviation
| Spatial sky 16325A emission deviations (filled: sky, open: star)
| Spatial sky continuum emission
| Spatial sky telluric CO2 absorption deviations (filled: H < 10)
|
12660059
| 47
| | Red | Green | Blue
| z | | 18.79
| znorm | | 14.61
| sky | 14.8 | 14.2 | 14.2
| S/N | 12.4 | 21.2 | 22.1
| S/N(c) | 19.6 | 45.7 | 31.9
| SN(E/C) | 0.95
|
|
|
|
|
|
|
12660060
| 47
| | Red | Green | Blue
| z | | 18.69
| znorm | | 14.51
| sky | 14.7 | 14.4 | 14.7
| S/N | 11.9 | 20.4 | 21.3
| S/N(c) | 18.3 | 43.1 | 30.7
| SN(E/C) | 0.96
|
|
|
|
|
|
|
12660061
| 47
| | Red | Green | Blue
| z | | 18.59
| znorm | | 14.41
| sky | 14.5 | 14.3 | 14.6
| S/N | 11.0 | 19.4 | 20.3
| S/N(c) | 17.3 | 40.9 | 29.4
| SN(E/C) | 0.97
|
|
|
|
|
|
|
12660062
| 47
| | Red | Green | Blue
| z | | 18.57
| znorm | | 14.39
| sky | 14.6 | 14.5 | 14.6
| S/N | 11.4 | 19.8 | 20.6
| S/N(c) | 16.9 | 39.0 | 28.8
| SN(E/C) | 0.96
|
|
|
|
|
|
|
12660063
| 47
| | Red | Green | Blue
| z | | 18.64
| znorm | | 14.46
| sky | 14.5 | 14.5 | 14.6
| S/N | 11.6 | 20.1 | 21.0
| S/N(c) | 17.6 | 41.0 | 29.9
| SN(E/C) | 0.92
|
|
|
|
|
|
|
12660064
| 47
| | Red | Green | Blue
| z | | 18.51
| znorm | | 14.33
| sky | 14.6 | 14.4 | 14.6
| S/N | 10.9 | 18.9 | 19.4
| S/N(c) | 16.2 | 37.6 | 27.9
| SN(E/C) | 1.01
|
|
|
|
|
|
|
12660065
| 47
| | Red | Green | Blue
| z | | 18.28
| znorm | | 14.10
| sky | 14.6 | 14.4 | 14.7
| S/N | 8.9 | 16.6 | 16.8
| S/N(c) | 14.1 | 33.9 | 24.8
| SN(E/C) | 0.98
|
|
|
|
|
|
|
12660066
| 47
| | Red | Green | Blue
| z | | 18.22
| znorm | | 14.04
| sky | 14.6 | 14.5 | 14.6
| S/N | 8.5 | 15.6 | 16.0
| S/N(c) | 13.5 | 32.2 | 23.9
| SN(E/C) | 1.00
|
|
|
|
|
|
|