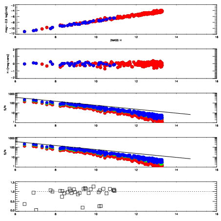
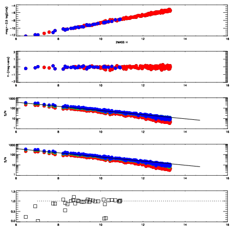
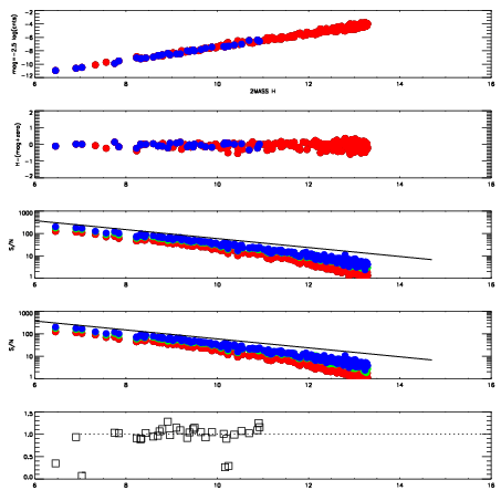
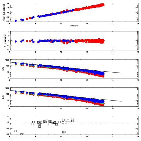
Frame | Nreads | Zeropoints | Mag plots
| Spatial mag deviation
| Spatial sky 16325A emission deviations (filled: sky, open: star)
| Spatial sky continuum emission
| Spatial sky telluric CO2 absorption deviations (filled: H < 10)
|
12680059
| 47
| | Red | Green | Blue
| z | | 17.50
| znorm | | 13.32
| sky | 14.6 | 14.3 | 14.5
| S/N | 5.1 | 10.2 | 10.2
| S/N(c) | 7.9 | 21.1 | 13.9
| SN(E/C) | 1.02
|
|
|
|
|
|
|
12680060
| 47
| | Red | Green | Blue
| z | | 17.42
| znorm | | 13.24
| sky | 14.7 | 14.5 | 14.8
| S/N | 4.4 | 9.5 | 10.1
| S/N(c) | 7.6 | 20.9 | 13.4
| SN(E/C) | 1.01
|
|
|
|
|
|
|
12680061
| 47
| | Red | Green | Blue
| z | | 18.13
| znorm | | 13.95
| sky | 14.6 | 14.4 | 14.5
| S/N | 7.9 | 15.3 | 15.9
| S/N(c) | 12.2 | 30.5 | 19.7
| SN(E/C) | 0.97
|
|
|
|
|
|
|
12680062
| 47
| | Red | Green | Blue
| z | | 17.59
| znorm | | 13.41
| sky | 14.5 | 14.4 | 14.7
| S/N | 5.1 | 10.2 | 10.4
| S/N(c) | 8.4 | 22.6 | 14.7
| SN(E/C) | 1.02
|
|
|
|
|
|
|
12680063
| 47
| | Red | Green | Blue
| z | | 18.72
| znorm | | 14.54
| sky | 14.5 | 14.6 | 14.5
| S/N | 12.6 | 22.5 | 22.8
| S/N(c) | 17.8 | 42.1 | 27.5
| SN(E/C) | 0.99
|
|
|
|
|
|
|
12680064
| 47
| | Red | Green | Blue
| z | | 18.80
| znorm | | 14.62
| sky | 14.7 | 14.5 | 14.5
| S/N | 13.2 | 23.2 | 23.8
| S/N(c) | 18.4 | 43.6 | 28.7
| SN(E/C) | 0.95
|
|
|
|
|
|
|
12680065
| 47
| | Red | Green | Blue
| z | | 18.95
| znorm | | 14.77
| sky | 14.4 | 14.5 | 14.4
| S/N | 14.6 | 25.1 | 25.8
| S/N(c) | 20.5 | 46.9 | 31.3
| SN(E/C) | 0.92
|
|
|
|
|
|
|
12680066
| 47
| | Red | Green | Blue
| z | | 18.94
| znorm | | 14.76
| sky | 14.7 | 14.5 | 14.5
| S/N | 14.8 | 25.0 | 25.6
| S/N(c) | 20.5 | 47.2 | 31.2
| SN(E/C) | 0.93
|
|
|
|
|
|
|