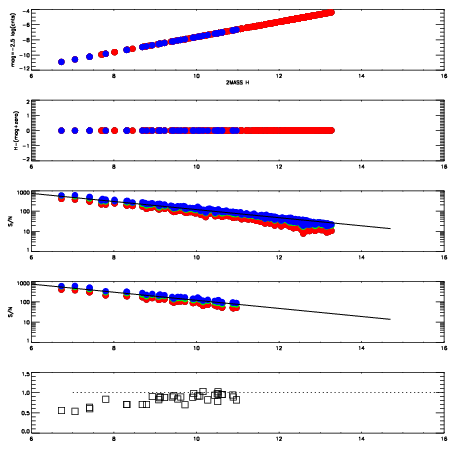
Left plots: red are targets, blue are telluric. Observed mags are calculated from median value of green chip. Zeropoint gives overall throughput: bigger number is more throughput.
First spatial plots: circles are objects, squares are tellurics, crosses are sky fibers. Colors give deviation of observed mag from expected 2MASS mag using the median zeropoint; red is brighter
Second spatial plots: circles are sky fibers. Colors give sky line brightness relative to plate median sky line brightness
FrameNreadsZeropointsMag plots Spatial mag deviation Spatial sky 16325A emission deviations (filled: sky, open: star) Spatial sky continuum emission Spatial sky telluric CO2 absorption deviations (filled: H < 10)
0 0
RedGreenBlue
z17.64
znorm Inf
sky -Inf -Inf -Inf
S/N 23.3 38.6 41.8
S/N(c) 0.0 0.0 0.0
SN(E/C) 0.89

IPAIRNAMESHIFTNEWSHIFTS/N NAMESHIFTNEWSHIFTS/N
0 12630013 0.484343 0.00000 18.0870 12630014 0.000125066 0.484218 18.0070
1 12630016 0.482901 0.00144199 19.1075 12630018 0.000376250 0.483967 19.1046
2 12630017 0.483436 0.000907004 19.1050 12630011 0.00000 0.484343 19.0740
3 12630012 0.484304 3.89814e-05 18.3290 12630015 2.31537e-05 0.484320 18.8617