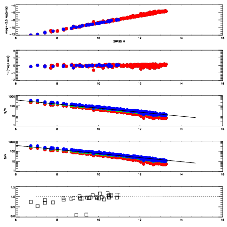
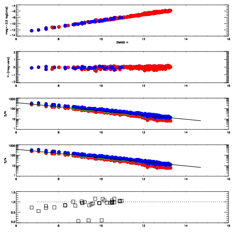
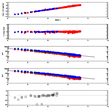
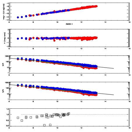
Frame | Nreads | Zeropoints | Mag plots
| Spatial mag deviation
| Spatial sky 16325A emission deviations (filled: sky, open: star)
| Spatial sky continuum emission
| Spatial sky telluric CO2 absorption deviations (filled: H < 10)
|
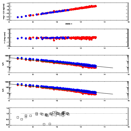
12690022
| 47
| | Red | Green | Blue
| z | | 19.13
| znorm | | 14.95
| sky | 14.4 | 14.4 | 14.6
| S/N | 15.9 | 25.5 | 27.6
| S/N(c) | 30.8 | 14.9 | 14.5
| SN(E/C) | 0.93
|
|
|
|
|
|
|
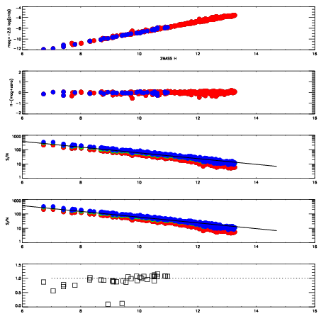
12690023
| 47
| | Red | Green | Blue
| z | | 18.80
| znorm | | 14.62
| sky | 14.4 | 14.4 | 15.1
| S/N | 12.4 | 21.1 | 22.9
| S/N(c) | 25.6 | 12.6 | 12.3
| SN(E/C) | 0.94
|
|
|
|
|
|
|
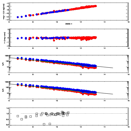
12690024
| 47
| | Red | Green | Blue
| z | | 19.09
| znorm | | 14.91
| sky | 14.6 | 14.7 | 15.1
| S/N | 14.1 | 23.9 | 25.8
| S/N(c) | 29.6 | 14.2 | 13.9
| SN(E/C) | 0.95
|
|
|
|
|
|
|
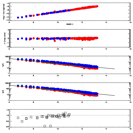
12690025
| 47
| | Red | Green | Blue
| z | | 19.18
| znorm | | 15.00
| sky | 14.6 | 14.7 | 15.0
| S/N | 15.7 | 26.1 | 28.1
| S/N(c) | 31.6 | 15.0 | 14.9
| SN(E/C) | 0.89
|
|
|
|
|
|
|
12690026
| 47
| | Red | Green | Blue
| z | | 19.08
| znorm | | 14.89
| sky | 14.6 | 14.5 | 15.1
| S/N | 15.1 | 25.1 | 27.0
| S/N(c) | 29.6 | 14.4 | 14.1
| SN(E/C) | 0.95
|
|
|
|
|
|
|
12690027
| 47
| | Red | Green | Blue
| z | | 19.14
| znorm | | 14.96
| sky | 14.4 | 14.7 | 15.1
| S/N | 15.5 | 25.8 | 27.8
| S/N(c) | 31.3 | 14.8 | 14.7
| SN(E/C) | 0.92
|
|
|
|
|
|
|
12690028
| 47
| | Red | Green | Blue
| z | | 18.85
| znorm | | 14.67
| sky | 14.8 | 14.8 | 15.3
| S/N | 13.0 | 22.3 | 23.7
| S/N(c) | 26.2 | 13.0 | 12.7
| SN(E/C) | 0.94
|
|
|
|
|
|
|
12690029
| 47
| | Red | Green | Blue
| z | | 19.08
| znorm | | 14.90
| sky | 14.6 | 14.7 | 15.0
| S/N | 14.9 | 24.9 | 26.8
| S/N(c) | 29.9 | 14.4 | 14.2
| SN(E/C) | 0.96
|
|
|
|
|
|
|