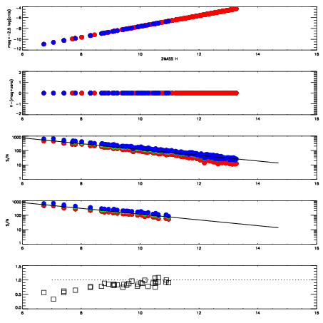
Left plots: red are targets, blue are telluric. Observed mags are calculated from median value of green chip. Zeropoint gives overall throughput: bigger number is more throughput.
First spatial plots: circles are objects, squares are tellurics, crosses are sky fibers. Colors give deviation of observed mag from expected 2MASS mag using the median zeropoint; red is brighter
Second spatial plots: circles are sky fibers. Colors give sky line brightness relative to plate median sky line brightness
FrameNreadsZeropointsMag plots Spatial mag deviation Spatial sky 16325A emission deviations (filled: sky, open: star) Spatial sky continuum emission Spatial sky telluric CO2 absorption deviations (filled: H < 10)
0 0
RedGreenBlue
z17.64
znorm Inf
sky -Inf -Inf -NaN
S/N 26.5 46.0 49.6
S/N(c) 0.0 0.0 0.0
SN(E/C) 0.85

IPAIRNAMESHIFTNEWSHIFTS/N NAMESHIFTNEWSHIFTS/N
0 12690028 0.486475 0.00000 18.8379 12690029 -0.00768314 0.494158 19.0661
1 12690027 0.485546 0.000928998 19.1333 12690025 -0.00314686 0.489622 19.1659
2 12690024 0.482947 0.00352800 19.0839 12690022 0.00000 0.486475 19.1187
3 12690023 0.483641 0.00283399 18.8052 12690026 -0.00303467 0.489510 19.0639