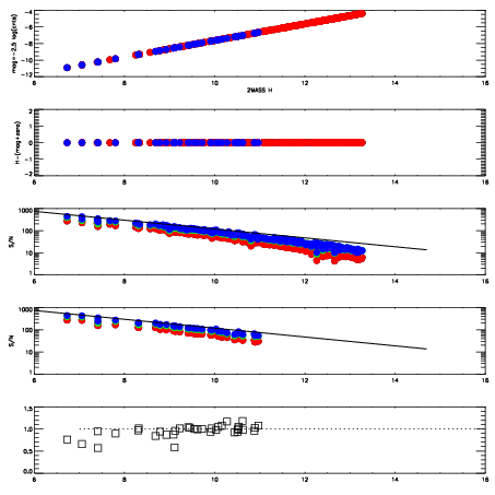
Left plots: red are targets, blue are telluric. Observed mags are calculated from median value of green chip. Zeropoint gives overall throughput: bigger number is more throughput.
First spatial plots: circles are objects, squares are tellurics, crosses are sky fibers. Colors give deviation of observed mag from expected 2MASS mag using the median zeropoint; red is brighter
Second spatial plots: circles are sky fibers. Colors give sky line brightness relative to plate median sky line brightness
FrameNreadsZeropointsMag plots Spatial mag deviation Spatial sky 16325A emission deviations (filled: sky, open: star) Spatial sky continuum emission Spatial sky telluric CO2 absorption deviations (filled: H < 10)
0 0
RedGreenBlue
z17.64
znorm Inf
sky -Inf -Inf -Inf
S/N 13.0 24.3 24.2
S/N(c) 0.0 0.0 0.0
SN(E/C) 0.98

IPAIRNAMESHIFTNEWSHIFTS/N NAMESHIFTNEWSHIFTS/N
0 12130017 0.497207 0.00000 18.5479 12130018 -0.000258721 0.497466 18.6049
1 12130016 0.497090 0.000116974 18.0852 12130015 -0.00205670 0.499264 17.8856
2 12130013 0.495056 0.00215098 17.8175 12130014 -0.00214954 0.499357 17.8511
3 12130012 0.495609 0.00159800 17.0215 12130011 0.00000 0.497207 17.6281